仅为单个线性对比计算最小显著值 (LSV)。
考虑自由度为 1 的检验 Lβ = 0,其中 L 是常数的行向量。该假设的 t 检验的检验统计量为:

其中 s 是均方根误差。若检验统计量的绝对值超过 t 分布的 1 - α/2 分位数 t1-α/2(自由度等于误差自由度),则在显著性水平 α 上拒绝该假设。
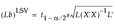
要查找最小显著值(用 (Lb)LSV 表示),我们求 Lb 的解:

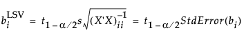
在线性对比检验一个假设(设置单个 βi 等于 0)的特例中,这简化为:

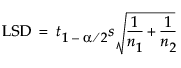
在相关检验是比较两组均值的情形中,文献提到了最小显著性差异 (LSD)。在模型只包含一个名义型变量的特例中,检验单个线性对比的公式简化为 LSD 的公式:

但是,在 JMP 中,与名义型效应的水平关联的参数测量该水平的均值和所有水平的均值的差异。因此,用于这类比较的 LSV 是用于均值差异的 LSD 的一半。
注意:若您在检验名义型效应水平上的对比,请记住 JMP 是如何编码名义型效应的。即,与给定水平关联的参数测量针对所有水平平均值的差异。