执行非线性模型的前瞻功效分析在本例中,您关注的是六个连续因子针对某个部件是通过还是未通过质检的主效应。响应为二项响应,您可以总共运行 60 次。
本例包含以下任务:
1. 构造用于实验的定制设计。请参见构造设计。
注意:尽管定制设计对于非线性情形并不是最佳的,但在本例中,为了简便起见,您可以使用“定制设计”平台而不是“非线性设计”平台。要查看解释使用“非线性设计”平台构造的设计优于正交设计的原因的示例,请参见《实验设计指南》中的非线性设计的示例。
2. 使用“广义线性模型”特质拟合 Logistic 模型。请参见拟合广义线性模型。
3. 模拟似然比检验 p 值,以探索检测由线性预测变量确定的某范围概率值中存在的差异的功效。请参见探索功效。
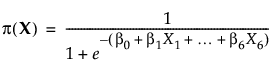
您需要使用广义线性模型(Logit 作为连结函数)对成功概率建模。Logit 连结函数拟合 Logistic 模型:

其中,π(X) 表示处在给定的设计设置 X = (X1, X2, ..., X6) 时,某部件通过的概率。
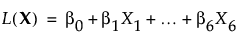
用 L(X) 表示线性预测变量:

接下来,您将探索线性预测变量系数的以下值的功效:
|
系数 |
值 |
|---|---|
|
β0 |
0 |
|
β1 |
1 |
|
β2 |
0.9 |
|
β3 |
0.8 |
|
β4 |
0.7 |
|
β5 |
0.6 |
|
β6 |
0.5 |
由于线性预测变量的截距为 0,所以当所有因子设置为 0 时,通过的部件的概率等于 50%。在其他所有因子都设置为 0 时,与第 i 个因子的水平关联的概率如下所示。
|
因子 |
Xi = 1 时通过的百分比 |
Xi = -1 时通过的百分比 |
差值 |
|---|---|---|---|
|
X1 |
73.11% |
26.89% |
46.2% |
|
X2 |
71.09% |
28.91% |
42.2% |
|
X3 |
69.00% |
31.00% |
38.0% |
|
X4 |
66.82% |
33.18% |
33.6% |
|
X5 |
64.56% |
35.43% |
29.1% |
|
X6 |
62.25% |
37.75% |
24.5% |
例如,在除 X1 之外的其他所有因子都设置为 0 时,您想要检测的通过率的差值为 46.2%。在除 X6 之外的其他所有因子都设置为 0 时,出现您要检测的通过率的最小差值,即 24.5%。
构造设计注意:若您想要跳过本节中的步骤,请选择帮助 > 样本数据库,然后打开 Design Experiment/
Binomial Experiment.jmp。点击实验设计模拟脚本旁边的绿色小三角,然后转到定义模拟响应。
1. 选择实验设计 > 定制设计。
2. 在“因子”分级显示项中的添加因子数旁边键入 6。
3. 点击添加因子 > 连续。
4. 点击继续。
您构造的是主效应设计,所以不要对“模型”分级显示项进行任何更改。
5. 在“试验次数”下的用户指定旁边键入 60。
6. 点击“定制设计”红色小三角,然后选择模拟响应。
这将在您选择“制表”以构造设计表后打开“模拟响应”窗口。
注意:在step 7中设置“随机种子”,在step 8中设置“开始数”,这将会重现本例中显示的相同设计。自行构造设计时,这些步骤不是必需的。
7. (可选)点击“定制设计”红色小三角并选择设置随机种子。键入 12345 并点击确定。
8. (可选)点击“定制设计”红色小三角并选择开始数。键入 1 并点击确定。
9. 点击制作设计。
10. 点击制表。
注意:Y 和 Y 模拟列中的条目可能不同于Figure 10.17 中所示的条目。
图 10.17 设计表的部分视图
图 10.18 “模拟响应”窗口
设计表和“模拟响应”窗口随即显示。有两列添加到设计表中:
‒ Y 包含根据“模拟响应”窗口中的指定设置模拟的一组值。
‒ Y 模拟包含一个公式,该公式使用在“模拟响应”窗口中为该模型指定的公式计算其值。要查看该公式,点击列面板中列名右侧的加号。
继续前进到下一节,在其中模拟二项响应并拟合这些模拟响应的广义线性模型。
定义模拟响应您的计划是要模拟二项响应数据,其成功概率由 Logistic 模型给出。有关模拟响应的详细信息,请参见《实验设计指南》中的模拟响应。
注意:若想要跳过本节中的步骤,请点击模拟模型响应脚本旁边的绿色小三角。然后转到拟合广义线性模型。
1. 在“模拟响应”窗口(Figure 10.18)中,在 Y 下输入以下值:
‒ 在“截距”旁边键入 0。
‒ 在 X1 旁边,默认输入的是 1。请保留该值。
‒ 在 X2 旁边,键入 0.9。
‒ 在 X3 旁边,键入 0.8。
‒ 在 X4 旁边,键入 0.7。
‒ 在 X5 旁边,键入 0.6。
‒ 在 X6 旁边,键入 0.5。
2. 在“分布”分级显示项中,选择二项。
保持数目的值设置为 1,指示每次试验只有一个单位。
图 10.19 完成的“模拟响应”窗口
3. 点击应用。
在设计数据表中,Y 模拟列替换为生成二项值的公式列。称为 Y n 次试验的列指示每次运行的试验数。
4. (可选)点击列面板中 Y 模拟右侧的加号。
图 10.20 “Y 模拟”的随机二项公式
5. 点击取消。
拟合广义线性模型1. 在数据表中,点击模型脚本旁边的绿色小三角。
2. 点击 Y 按钮旁边的 Y 变量,然后点击删除。
3. 点击 Y 模拟,然后点击 Y 按钮。
您要使用包含随机生成的二项值的列来替换 Y。
4. 从“特质”列表中选择广义线性模型。
5. 从“分布”列表中选择二项。
请注意,Logit 函数显示在“连结函数”菜单中。
6. 点击运行。
拟合的模型基于一组模拟二项响应。
探索功效下一步,探索检验的功效,这些检验用来检测由线性预测变量(其系数值在计划示例中给出)确定的一系列概率值中存在的差异。
1. 在“效应检验”分级显示项中,右击概率>卡方列,然后选择模拟。
图 10.21 “模拟”窗口
确保在“换出列”列表中选定了 Y 模拟列。该列包含用于拟合模型的值。当您选择“换入列”下的列 Y 模拟后,对于每次模拟,您都在指示 JMP 将 Y 模拟中的值替换为使用 Y 模拟列中的公式模拟的一列新值。
您在报表中已选定的列概率>卡方是关于相关的主效应是否为 0 的似然比检验的 p 值。为“效应检验”表中所列的每个效应都模拟“概率>卡方”值。
2. 在样本数旁边,键入 500。
3. 点击确定。
随即显示“广义线性模型模拟结果”数据表。
注意:由于响应值是模拟的,您的模拟 p 值可能不同于Figure 10.22 中显示的结果。
图 10.22 模拟结果表,部分视图
表的第一行包含概率>卡方的初始值,并且已被排除。其余 500 行包含模拟值。
4. 运行功效分析脚本。
注意:由于响应值是模拟的,您的模拟功效结果可能不同于Figure 10.23 中显示的结果。
图 10.23 前三个效应的分布图
直方图为每个主效应都绘制了 500 次模拟的概率>卡方值。“模拟功效”分级显示项显示这 500 次模拟中的模拟“拒绝率”。
为便于查看,堆叠这些报表并且取消选择这些图,如下所示。
5. 点击“分布”红色小三角并选择堆叠。
6. 按 Ctrl 并点击 X1 红色小三角,然后取消选择离群值箱线图。
7. 按 Ctrl 并点击 X1 红色小三角,选择直方图选项并取消选择直方图。
注意:由于响应值是模拟的,您的模拟功效结果可能不同于Figure 10.24 中显示的结果。
图 10.24 前三个效应的功效结果
在“模拟功效”分级显示项中,每行的“拒绝率”给出小于相应的 Alpha 的 p 值的比例。例如,对于 X3(对应于系数值 0.8,概率差值为 38%),0.05 显著性水平下的模拟功效为 379/500 = 0.758。Table 10.1 汇总了所有效应在 0.05 显著性水平下的模拟功效。请注意功效如何随着“待检差值”的下降而下降。还请注意,检验 24.5% 这样大的效应 (X6) 的功效仅约为 0.37。
注意:由于响应值是模拟的,您的模拟功效结果可能不同于Table 10.1 中显示的结果。
因子 | Xi = 1 时通过的百分比 | Xi = -1 时通过的百分比 | 待检差值 | Alpha=0.05 时的模拟功效(拒绝率) |
|---|---|---|---|---|
X1 | 73.11% | 26.89% | 46.2% | 0.852 |
X2 | 71.09% | 28.91% | 42.2% | 0.828 |
X3 | 69.00% | 31.00% | 38.0% | 0.758 |
X4 | 66.82% | 33.18% | 33.6% | 0.654 |
X5 | 64.56% | 35.43% | 29.1% | 0.488 |
X6 | 62.25% | 37.75% | 24.5% | 0.372 |