逆预测从响应变量估计自变量的值。在生物鉴定问题中,带置信限的逆预测特别有用。在 JMP 中,您可以请求提供连续和二值响应模型的逆预测估计值。若响应是连续的,您可以请求提供单个响应或期望响应的置信限。
使用 Fieller 定理 (1954) 计算置信限,该定理基于以下逻辑。目标是在给定其他回归变量值和响应值的情况下预测单个回归变量的值以及它的置信限。
• 设 b 估计参数 β,因此 b 分布服从 N(β,V)。
• 设 x 为相关的回归变量值,要估计第 i 个值。
• 设 y 为响应值。
我们需要知道 x[i] 值的置信区域,以便在给出 x 的所有其他值时 β′x = y。
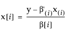
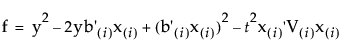
逆预测为

其中带括号的下标 (i) 指示忽略第 i 个分量。可以从以下关系等式得到置信区间:

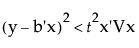
其中 t 是指定置信水平的 t 值。
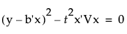
方程

可以表示为 z = x[i] 的二次形式:

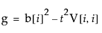
其中



根据 g、h 和 f 的值(满足不等式的一组值),逆预测的置信区间有很多形式:
• (φ1, φ2) 形式的一个区间,其中 φ1 < φ2
• 形式为 (−∞, φ1) ∪ (φ2, ∞) 的两个不相交区间,其中 φ1 < φ2
• 整个实线 (−∞, ∞)
• 只能是 −(∞, φ) 或 (φ, ∞) 之一
Fieller 置信区间为整个实线时,提供 Wald 区间。
注意:计算逆预测的置信区间时,“以 X 拟合 Y”Logistic 平台和“拟合模型名义型 Logistic”特质使用 t 值。“拟合模型广义线性模型”特质以及 SAS/STAT 中的 PROC PROBIT 使用 z 值,它们给出不同结果。