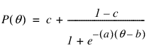
1 参数、2 参数和 3 参数 Logistic 模型可用于对项目响应曲线建模。3 参数 Logistic (3PL) 模型定义如下。

• P(q) 是针对能力水平 q 正确回答该项目的概率。有关拟合项目反应理论模型的详细信息,请参见拟合 IRT 模型。
• a 参数定义曲线拐点处的陡度。它提供该项目分辨力的估计值。
• b 参数定义拐点在能力轴上的位置。它提供该项目难度的估计值。
• c 参数是下渐近线。它提供通过猜测正确回答某项目的概率估计值。
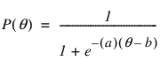
• 对于 2PL 模型,c 参数设置为 0。

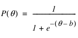
• 对于 1PL 模型,c 参数设置为 0,a 参数设置为 1。这种参数化亦称 Rasch 模型 (Rasch, 1980)。

在 2PL 和 3PL 模型中,a 参数(或曲线拐点处的陡度)提供项目分辨力的测度。项目分辨力是指项目可以区分低能力水平响应者与高能力水平响应者的能力。陡峭的项目响应曲线指示该项目具有很强的分辨力。低能力水平响应者正确响应项目的概率较低;高能力水平响应者正确响应项目的概率较高。曲线相对平直的项目具有较低的分辨力。分辨力较低的项目可作为候选项从测量手段中删除。
图 11.10 不同 a 值的 Logistic 模型
b 参数(或相对于能力的拐点位置)提供了项目难度测度。拐点在能力尺度上靠右的项目响应曲线指示项目比起拐点靠左的项目更难回答。在 1PL 和 2PL 模型中,b 参数是有 50% 的概率正确回答项目所需的能力水平的估计值。
图 11.11 不同 b 值的 Logistic 曲线
在 3PL 模型中,c 参数(或项目响应曲线的下渐近线)提供猜测参数的测度。非零下渐近线表示能力水平极低的个人正确回答项目的概率不为零。
图 11.12 不同 c 值的 Logistic 模型