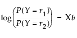
Logistic 回归使用 X 项的线性模型拟合名义型 Y 响应。更确切地说,它使用 Logistic 函数拟合响应水平的概率。对于两个响应水平,该函数为:
其中 r1 是第一个响应水平
或等价于:
其中 r1 和 r2 分别是两个响应水平
注意:当 Y 为二值且具有名义型建模类型时,可以在“拟合模型”窗口中设置“目标水平”来指定您要对其概率建模的水平。在本节中,将目标水平指定为 r1。
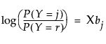
对于 r 个名义型响应水平(其中 r > 2),模型由以下形式的 r − 1 个线性模型参数定义:

最大似然的拟合原理是选择 β 通过模型使归因于发生响应的联合概率最大。该拟合原理等价于使负对数似然(–对数似然)最小化:
