时间序列建模选项用于拟合序列的理论模型并使用拟合模型预测序列的将来值。这些选项还生成统计量和残差,以便您确定选择要使用的模型的合理性。您可以多次选择建模选项。每次选择一个模型时,将该模型添加到“模型比较”表,同时将拟合结果的报表和预测添加到“时间序列”报表窗口。选中“模型比较”表中某模型旁边的“报表”复选框时,会为该模型生成一个报表。该报表在标题中指明相应的模型。
默认显示以下报表:
• “模型汇总”表
• “参数估计值”表
• 预测图
• 残差
• 迭代历史记录
“模型汇总”表包含模型的拟合统计量。在下面的公式中,n 是序列的长度,k 是模型中的拟合参数数目。
自由度
拟合中的自由度数,计算公式为:n – k。
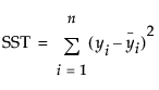
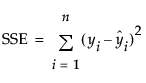
误差平方和
残差平方和。
方差估计值
无条件的误差平方和 (SSE) 除以自由度 n – k。方差估计值计算公式为:SSE / (n – k)。这是ARIMA 模型一节中所述的随机扰动项 at 的方差的样本估计值。
标准差
方差估计值的平方根。这是随机扰动项 at 的标准差的样本估计值。
Akaike 信息准则 [AIC]
AIC 值越小指示拟合效果越好。AIC 的计算公式如下:

Schwarz Bayesian 准则 [SBC 或 BIC]
SBC 值越小指示拟合效果越好。Schwarz Bayesian 准则等价于 Bayesian 信息准则 (BIC)。SBC 的计算公式如下:

R 方
R 方的计算公式如下:

其中


是“单步”预测
是 yi 均值
若模型拟合序列效果不好,则模型误差平方和 SSE 可能大于总平方和 SST,导致 R2 为负数。
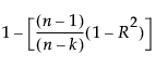
调整 R 方
调整的 R2 的计算公式如下:

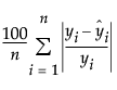
均值绝对百分误差
平均绝对百分比误差的计算公式如下:

均值绝对误差
平均绝对误差的计算公式如下:

–2 对数似然
在最佳拟合参数估计值处求值的负对数似然函数的两倍。值越小表示拟合效果越好。请参见《拟合线性模型》中的似然、AICc 和 BIC。
稳定
指示自回归算子是否稳定。即是否 φ(z) = 0 的所有根位于单位圆之外。
可逆
指示移动平均算子是否可逆。即是否 θ(z) = 0 的所有根位于单位圆之外。
注意:φ 和 θ 算子在ARIMA 模型一节中定义。
每个所选拟合都有一个“参数估计值”表,该表给出时间序列模型参数的估计值。每个模型类型具有自己的一组参数,它们在有关特定时间序列模型的节中介绍。每个“参数估计值”表包含以下列:
项
参数的名称,它在每个模型类型的对应节中介绍。一些模型包含截距或均值项。在这些模型中,还显示相关的常数估计值。常数估计值的定义在 ARIMA 模型的描述下面给出。
因子
(仅对乘法季节性 ARIMA 模型显示。)包含参数的模型的因子。在乘法季节性模型中,因子 1 是非季节性的,因子 2 是季节性的。
滞后
(仅对 ARIMA 和季节性 ARIMA 模型显示。)滞后期数或者与参数相乘的后移算子的阶数。
估计值
时间序列模型的参数估计值。
标准误差
参数估计值的标准误差估计值。这些估计值用于计算检验和预测区间。
t 比
假设每个参数为零的检验统计量。参数的检验统计量是参数估计值与标准误差的比。若假设为真,则该统计量近似服从 Student t 分布。根据一般规则,通常查找绝对值大于 2 的 t 比来判断显著性,因为它近似于 0.05 显著性水平。
概率>|t|
为每个参数计算的观测 p 值。p 值是得到 t 比的绝对值大于计算值的概率(在假设成立的前提下)。
常数估计值
针对包含截距项或均值项的模型,显示常数项估计值。常数估计值的定义在 ARIMA 模型下给出。
Mu
(仅对 ARIMA 和季节性 ARIMA 模型显示。)ARIMA 或季节性 ARIMA 模型的截距值估计值。
每个模型都有各自的预测图。预测图显示时间序列的观测值和预测值。该图被一条垂直线分为两个区域。在垂直线的左侧,“单步”预测叠加在观测的数据点上。在垂直线的右侧是模型所预测的将来值和预测的预测区间。
您可以通过在平台启动窗口中更改“预测周期数”选项的设置或通过从“时间序列”红色小三角菜单选择“预测周期数”来控制将来预测值的个数。
“残差”报表中的图形根据拟合模型显示残差值。这些值是时间序列的观测值减去“单步”预测值得到的。还显示这些残差的自相关性和偏自相关性报表。可以使用这些报表来确定拟合模型是否充分描述了原有的数据。若拟合模型适合,则残差图中的点应在零附近呈正态分布,并且残差的自相关性和偏自相关性在任何大于零的滞后期内都不存在显著性。
模型参数估计是一个迭代过程,在这个过程中通过调整参数估计值来使对数似然最大化。为每个模型显示“迭代历史记录”报表,它包含在每次迭代处的目标函数值。这对于诊断拟合过程的问题很有用。尝试拟合很不适合数据的模型可能导致无法收敛到似然的最优值。“迭代历史记录”表包含以下信息:
迭代
迭代编号。
迭代历史记录
每步的目标函数值。
步进
迭代步的类型。
目标值准则
目标函数的梯度的范数。
每个模型报表有一个包含以下选项的红色小三角菜单:
显示点
显示或隐藏预测图中的数据点。
显示预测区间
显示或隐藏预测图中的预测区间。
保存列
创建一个新数据表,它包含表示模型结果的列。
保存预测公式
将数据和预测公式保存到新数据表。
创建 SAS 作业
创建在 SAS 中复制模型分析的 SAS 代码。
提交至 SAS
将复制模型分析的 SAS 代码提交到 SAS。若您未连接到 SAS 服务器,该选项将引导您完成连接过程。
残差统计量
控制为模型显示哪些残差统计量。这些显示内容在“时间序列”平台选项一节中介绍。 但是,它们应用到残差序列。