具有有序型响应 (Y) 和具有名义型响应一样,JMP 拟合响应是数据给出的 r 个不同响应水平之一的概率。
有序型数据和连续数据一样具有顺序。在分析中使用该顺序但是不使用有序水平之间的间距或距离。若您有数值响应但是希望模型忽略值的间距,可以将有序型水平分配给该响应列。若您有分类变量且水平以某种自然顺序(如低、中和高)排列,可以使用有序型建模类型。
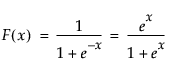
通过为累积概率拟合一系列平行 Logistic 曲线来对有序型响应建模。每条曲线具有相同的设计参数但是具有不同的截距,其公式如下:
(对于
)
其中,有 r 个响应水平且 F(x) 是标准 Logistic 累积分布函数

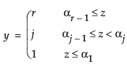
还可以根据非观测的连续变量 z 表示该函数,当该变量超过各种阈值时导致有序型响应变化。

其中 z 是线性模型和误差的无法观测函数

ε 具有 Logistic 分布。
这些模型具有吸引力的地方在于它们可识别响应的有序特征,所需的参数数目比名义型模型少得多,而且计算速度很快。
可以通过在数学上等价的另一方式看待有序型模型:设想一个名义型模型,它不是对优势建模而是对累积概率建模。不是针对除最后一个水平外的所有水平拟合函数,而是只拟合一个函数并滑动它来拟合每个累积响应概率。
有序型响应模型的最大似然拟合原理与名义型响应模型的拟合原理相同。它估计参数以使发生的所有响应的联合概率为可从模型获得的最大概率。与名义型拟合相比,它使用的迭代方法速度更快并且占用的内存更少。
像名义型响应一样,有序型响应的最简单模型是拟合为整个数据表中响应的发生率的一组响应概率。