发布日期: 04/13/2021

预测区间

JMP 用来计算预测区间的公式如下所示:

对于 m 个将来观测:

Equation shown here  (Equation shown here

对于 m 个将来观测的均值:

Equation shown here  (Equation shown here

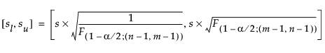
对于 m 个将来观测的标准差:

Equation shown here  (Equation shown here

其中,m = 将来观测数,n = 当前分析样本中的点数。

通过在分位数函数中使用 1-α 可形成单侧区间。

请参见 Meeker et al.(2017, ch.4)。

需要更多信息?有问题?从 JMP 用户社区得到解答 (community.jmp.com).