发布日期: 04/13/2021

Image shown here随机系数模型

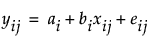
标准随机系数模型指定每个对象的随机截距和斜率。用 yij 表示第 i 个对象的第 j 个观测的测量值。这样,随机系数模型可以表示为:

Equation shown here

其中

Equation shown here

Equation shown here

Equation shown here

Equation shown here

Equation shown here

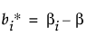
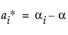
您可以按以下方式重新用公式表示模型来反映 JMP 估计的固定成分和随机成分:

Equation shown here

其中

Equation shown here

Equation shown here

Equation shown here

按上文所述定义 Geij

需要更多信息?有问题?从 JMP 用户社区得到解答 (community.jmp.com).