当您选择“简单移动平均”作为平滑模型时,显示“简单平滑平均规格”窗口。设 w 为简单移动平均 (SMA) 模型中的平滑窗口宽度。则针对某一时间点 t,ft=(yt+yt-1+yt-2+...yt-(w-2)+yt-(w-1))/w 为 w 个连续观测的平均值。
图 17.9 “简单平滑平均规格”窗口
输入平滑窗口宽度
平滑窗口宽度 w,它定义要平均的连续点数。窗口宽度越大,序列越平滑。
不中心化
平滑窗口由时间点 t(时间序列要估计的时间点)之前的点到时间点 t(包括 t)来构造。换句话说,ft 是时间 t 的标绘值。
中心化
平滑窗口以时间序列要估计的时间点为中心。
‒ 对于奇数 w,ft 是时间 t-(w-1)/2 的标绘值。
‒ 对于偶数 w,ft 是时间 t-(w-1)/2 的标绘值。保存到数据表时,ft 位于 t-(w-2)/2 处。
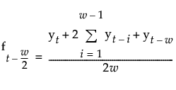
偶数项中心化和双平滑
对于偶数 w,平滑窗口无法以正要估计序列的时间点为中心。该选项创建两个几乎中心化的平滑窗口,取它们的平均值。按以下方式计算平滑估计值:

当您选择不是“简单移动平均”的一个平滑模型选项时,显示“平滑模型”规格窗口。窗口标题和可用选项取决于您选择的平滑模型选项。
图 17.10 “平滑模型”规格窗口
预测区间
支持您设置预测区间的预测水平。
每周期观测数
(仅对季节性平滑模型可用。)支持您在季节性平滑模型中设置每周期观测数。
约束
允许您指定在拟合期间要对平滑权重施加的约束类型。约束选项如下所示:
0 到 1
约束平滑权重值处于范围 0 到 1 内。
无约束
允许任意范围的参数。
稳定可逆
约束参数以便等价的 ARIMA 模型是稳定可逆的。
定制
展开对话框以允许设置各个平滑权重的约束。根据权重名称旁边的弹出菜单设置,每个平滑权重可以为界限、固定或无约束。输入固定或界限权重的值时,这些值可以为正负实数。
图 17.11 定制平滑权重
Figure 17.11中显示的示例具有固定为 0.3 的水平权重 (α),界限为 0.1 和 0.8 的趋势权重 (γ)。在该例中,趋势权重的值可以在范围 0.1-0.8 内变动,而水平权重则固定为 0.3。请注意,您可以使用这些定制约束预先指定所有平滑权重。这样就不用从数据估计权重,尽管仍计算预测和残差。