本节包含“连续拟合”菜单中的选项的统计详细信息。
注意:在 JMP 15 中更新了分布拟合的一些功能。本节详细介绍了以往 JMP 版本中为兼容目的而保留的旧功能。通过在变量的红色小三角菜单中选择连续拟合 > 启用传统拟合器,可以使用这些功能。
有关正态分布拟合的详细信息,请参见拟合正态。
有关正态分布拟合的详细信息,请参见拟合对数正态。
Weibull 分布根据 α(尺度)和 β(形状)的值呈不同形状。它通常为估计寿命(特别是机械设备和生物方面)提供合适的模型。
“Weibull”分布和“有阈值的 Weibull”分布的 pdf 如下所示:
pdf:
α,β > 0; θ < x
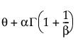
E(x) = 
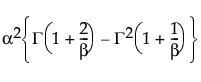
Var(x) = 
其中,Γ(·) 是 Gamma 函数。
Weibull 选项将阈值参数 (θ) 设置为零。有阈值的 Weibull 选项,使用最小观测的值估计阈值参数 (θ),使用其余观测估计 α 和 β。若了解应该如何设置阈值,请使用固定参数选项设置该阈值。请参见“拟合分布”选项。
注意:“分布”平台对于“有阈值的 Weibull”分布中的阈值参数使用与“寿命分布”平台不同的估计方法。推荐使用“寿命分布”估计方法拟合该分布。请参见《可靠性和生存方法》中的“寿命分布”平台的统计详细信息。
“极值”分布等价于重新参数化为 δ = 1 / β 且 λ = ln(α) 的双参数 Weibull (α, β) 分布。
有关指数分布拟合的详细信息,请参见拟合指数。
Gamma 拟合选项估计 gamma 分布参数,α > 0 和 σ > 0。参数 α(在拟合 gamma 报表中称为 alpha)描述形状或曲率。参数 σ(称为 Sigma)是分布的尺度参数。第三个参数 θ(称为阈值)是下端点参数。除非有负值,否则默认情况下该参数设置为零。您还可以通过使用固定参数选项设置其值。请参见“拟合分布”选项。
pdf:
0 ≤ x; 0 < α,σ
E(x) = ασ + θ
Var(x) = ασ2
• 标准 gamma 分布的 σ = 1。Sigma 称为尺度参数,因为 1 之外的值将沿着水平轴延展或收缩分布。
• 当 σ = 2、α = ν/2 且 θ = 0 时呈卡方
分布。
• 指数分布是在 α = 1 且 θ = 0 时出现的一系列 gamma 曲线。
当 α ≤ 1 时,标准 gamma 密度函数严格递减。当 α > 1,密度函数从 0 开始,增加到最大值,然后递减。
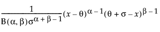
标准 Beta 分布适用于对限制在 0,1 区间内的随机变量的行为建模。例如,比例总是介于 0 和 1 之间。Beta 拟合选项估计两个形状参数:α > 0 和 β > 0,以及两个阈值参数 θ 和 σ。阈值下限表示为 θ,阈值上限表示为 θ + σ。beta 分布仅在区间 θ ≤ x ≤ (θ + σ) 内有值。θ 估计为最小值,σ 估计为极差。当 θ = 0 且 σ = 1 时呈标准 beta 分布。
使用固定参数选项可将参数设置为固定值。阈值上限必须大于等于最大数据值,阈值下限必须小于等于最小数据值。有关“固定参数”选项的详细信息,请参见“拟合分布”选项。
pdf:
θ ≤ x ≤ θ + σ; 0 < σ,α,β
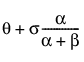
E(x) = 
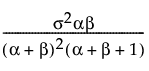
Var(x) = 
其中 B(·) 是 Beta 函数。
有关正态混合分布拟合的详细信息,请参见拟合两正态混合和拟合三正态混合。
平滑曲线选项使用非参数密度估计(核密度估计)拟合平滑曲线。平滑曲线叠加在直方图上,该图下方会出现一个滑块。通过使用滑块更改核心标准差来控制平滑度。初始核心标准差估计值基于数据的标准差计算得出。
有关 SHASH 分布拟合的详细信息,请参见拟合 SHASH。
Johnson 分布体系包含三种分布,这些分布全都基于变换的正态分布。这三种分布如下:
• Johnson Su,无界。
• Johnson Sb,双侧均有界限。这些界限由可以估计的参数定义。
• Johnson Sl,单侧有界限。该界限由可以估计的参数定义。Johnson Sl 系列包含一系列对数正态分布。
S 代表体系,即范围的下标。尽管我们执行不同的方法,但关于特定 Johnson 体系的选择标准的信息在 Slifker and Shapiro (1980) 中提供。
Johnson 分布十分灵活,所以很受欢迎。特别是,Johnson 分布体系以其数据拟合能力闻名,因为它支持偏度和峰度的每种可能组合。
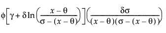
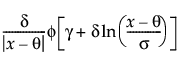
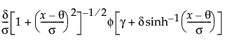
若 Z 是标准正态变量,则该体系定义如下:

其中,对于 Johnson Su:


其中,对于 Johnson Sb:


对于 Johnson Sl,其中 σ = ±1。


pdf:
-∞ < x, θ, γ < ∞; 0 < θ,δ
pdf:
θ < x < θ+σ; 0 < σ
pdf:
θ < x 若 σ = 1; θ > x 若 σ = -1
其中 φ(·) 是标准正态 pdf。
请注意以下事项:
• 不同的机器的参数估计值可能由于操作顺序和机器的精确度而有所不同。
• 参数置信区间在默认报表中处于隐藏状态。参数置信区间对 Johnson 分布的意义不大,因为这些分布是变换了的正态分布。要显示参数置信区间,请在报表中右击,然后选择列 > 95% 下限和 95% 上限。
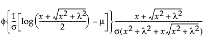
该分布适用于拟合与正态分布相差甚远且经常具有不恒定方差的数据(如生化数据)。使用参数 μ(位置)、σ(尺度)和 λ(形状)来描述广义对数分布。
pdf: 
0 ≤ λ; 0 < σ; -∞ < μ < ∞
广义对数分布是变换了的正态分布,来自以下关系:
若 z =
~ N(0,1),则 x ~ Glog(μ,σ,λ)。
当 λ = 0 时,Glog 简化为 LogNormal ((μ,σ)。
注意:参数置信区间在默认报表中处于隐藏状态。参数置信区间对广义对数分布的意义不大,因为该分布是变换了的正态分布。要显示参数置信区间,请在报表中右击,然后选择列 > 95% 下限和 95% 上限。
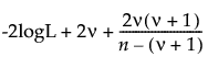
在“比较分布”报表中,“分布”列表按 AICc 升序排序。
AICc 的公式如下:
AICc =
其中:
‒ logL 是对数似然。
‒ n 是样本大小。
‒ ν 是参数个数。
若列包含负值,“分布”列表则不包含要求正值数据的那些分布。仅列出连续分布。具有阈值参数(如 Beta 和 Johnson Sb)的分布不包含在可能的分布列表中。