发布日期: 04/13/2021

Image shown here分布的统计详细信息

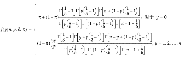
下面根据模型拟合中使用的参数给出了按“广义回归”特质拟合的分布。尽管没有专门在说明中指出,但是“广义回归”特质允许您对离散分布指定非整数值。

Image shown here连续分布

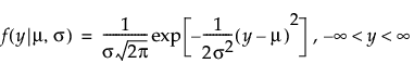
正态分布

Equation shown here

Equation shown here

Equation shown here

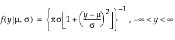
Cauchy 分布

Equation shown here

Equation shown here

Equation shown here

指数分布

Equation shown here

Equation shown here

Equation shown here

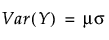
Gamma 分布

Equation shown here

Equation shown here

Equation shown here

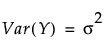
Weibull 分布

Equation shown here

Equation shown here

Equation shown here

对数正态分布

Equation shown here

Equation shown here

Equation shown here

Beta 分布

Equation shown here

Equation shown here

Equation shown here

Image shown here离散分布

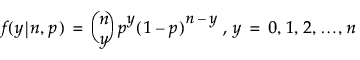
二项分布

Equation shown here

Equation shown here

Equation shown here

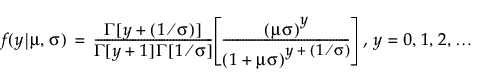
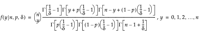
Beta 二项分布

Equation shown here

Equation shown here

Equation shown here

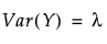
Poisson 分布

Equation shown here

Equation shown here

Equation shown here

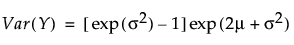
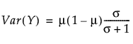
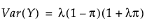
负二项分布

Equation shown here

Equation shown here

Equation shown here

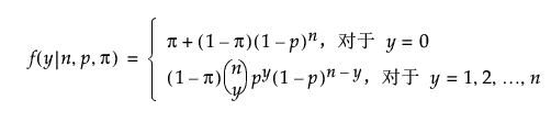
Image shown here零泛滥分布

零泛滥二项分布

Equation shown here

Equation shown here

Equation shown here

零泛滥 Beta 二项分布

Equation shown here

Equation shown here

Equation shown here

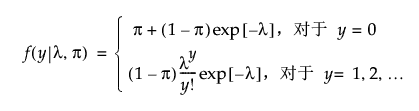
零泛滥 Poisson 分布

Equation shown here

Equation shown here

Equation shown here

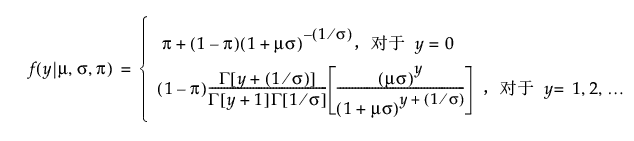
零泛滥负二项分布

Equation shown here

Equation shown here

Equation shown here

零泛滥 Gamma 分布

Equation shown here

Equation shown here

Equation shown here

需要更多信息?有问题?从 JMP 用户社区得到解答 (community.jmp.com).