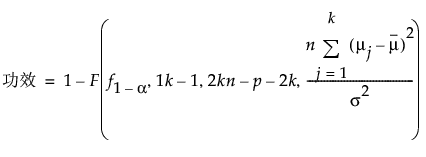
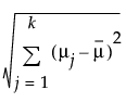
k 个样本均值计算基于以下公式:

其中:
α 是显著性水平。
σ 是 k 个组的共同标准差。
n 是每组样本大小。
p 额外参数的数目。
是 k 个组前瞻均值的均值。
f1-α 是 F(k - 1, kn - p - k) 分布的第 (1 - α) 分位数。
F(x, df1, df2, nc) 是非中心 F 分布的累积分布函数,该函数的自由度为 df1 和 df2,非中心参数 nc 在 x 处求值。
使用数值方法对 n 求解。
按以下方式计算均值差值:

有关 JMP 中计算的详细信息,请参见 Barker(2011,第 2.3 节)。