对于非区间删失的数据,初始报表显示“汇总”和“分位数”数据(Figure 13.15)。“汇总”数据显示每个组(存在组的情况下)和整个研究的失效数以及删失观测数。还针对删失调整了均值和标准差。有关这些统计量的计算详细信息,请参见《SAS/STAT 14.3 User’s Guide》中的“LIFETEST 过程”一章 (2017)。
“分位数”数据显示单个组和合并组的失效时间统计量,其中包括中位数生存时间(带 95% 置信上限和置信下限)。中位数生存时间是一半对象失效时的时间(天数)。还包括四分位数生存时间(25% 和 75%)。
图 13.15 一元生存分析的汇总统计量
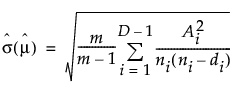
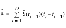
“汇总”报表给出生存时间均值的估计值以及该均值的标准误差。估计的生存时间均值如下所示:
其标准误差为 
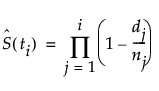
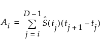
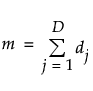
其中



是时间 ti 处的生存分布
D 是不同的事件时间数
ni 是恰好在 ti 前的生存单元数
di 是在 ti 处失效的单元数
t0 定义为 0
有多个组时,“组间检验”表会提供各组的齐性统计检验。Kalbfleisch and Prentice (1980, ch. 1), Hosmer and Lemeshow (1999, ch. 2) 和 Klein and Moeschberger (1997, ch. 7) 讨论了生存曲线的统计量和比较。
图 13.16 组间检验
检验
命名两个统计检验,它们假设生存函数在不同组之间是相同的。
卡方
提供统计检验的卡方近似。
对数秩检验赋予较大生存时间更大的权重,当要比较的组中的危险率函数之比近似为常数时,它会更加有用。危险率函数是给定时间处的瞬间失效率。它也称为死亡率或死亡力。
Wilcoxon 检验赋予前期生存时间更大的权重,若误差分布为 Logistic 分布,则该检验是最佳秩检验。请参见 Kalbfleisch and Prentice (1980)。
自由度
提供统计检验的自由度。
概率>卡方
列出当生存函数对于所有组相同时,随机得到卡方值大于计算值的概率。
Figure 13.17显示了一个组的乘积限生存函数估计值的示例。
图 13.17 “生存估计值”表的示例
注意:记录的最后时间是删失观测时,该报表会指示有偏均值估计值。有偏均值估计值是真实均值的下限。