本节包含“汇总统计量”报表中的特定统计量的统计详细信息。
均值是非缺失值总和除以非缺失值个数所得的值。若指定了权重或频数变量,JMP 按如下方法计算均值:
1. 每个列值均乘以其相应的权重或频数。
2. 将这些值相加后再除以权重和或频数和。
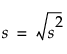
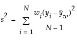
标准差测量分布在均值附近的散布程度。经常表示为 s ,并且是样本方差(表示为 s2)的平方根。

其中

= 加权均值
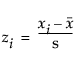
均值标准误差通过样本标准差 (s) 除以 N 的平方根计算得出。在启动窗口中,若指定了“权重”或“频数”列,则分母为权重和或频数和的平方根。
偏度基于均值的三阶矩,计算如下:
其中 
wi 是权重项(= 1 即表示各项权重相同)
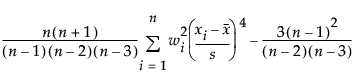
峰度基于均值的四阶矩,计算如下:

其中 wi 是权重项(= 1 即表示各项权重相同)。使用该公式,正态分布的峰度为 0。该公式经常称为超值峰度。