发布日期: 11/15/2021

近似 F 检验

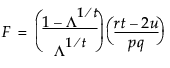
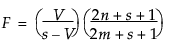
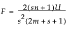
为了计算 F 值和自由度,用 p 表示 Equation shown here 的秩。用 q 表示 Equation shown here 的秩,其中 L 矩阵标识与要检验的效应关联的 Equation shown here 的元素。用 v 表示误差自由度,用 s 表示 pq 中的最小项。还假定 Equation shown hereEquation shown here

表 5.3 列出了从相应的检验统计量如何计算每个近似 F 值。

表 5.3 近似 F 统计量

检验

近似 F

分子自由度

分母自由度

Wilks Lambda

Equation shown here

Equation shown here

Equation shown here

Pillai 迹

Equation shown here

Equation shown here

Equation shown here

Hotelling-Lawley 迹

Equation shown here

Equation shown here

Equation shown here

Roy 最大根

Equation shown here

Equation shown here

Equation shown here

需要更多信息?有问题?从 JMP 用户社区得到解答 (community.jmp.com).