多元方法
>
判别分析
>
“判别分析”平台的统计详细信息
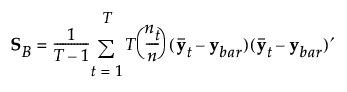
> 组间协方差矩阵
发布日期: 11/15/2021
组间协方差矩阵
使用
表 5.2
中的符号,按以下方式定义该矩阵:
需要更多信息?有问题?从 JMP 用户社区得到解答
(community.jmp.com)
.
本网站在启用 JavaScript 的情况下效果最佳。