本节提供有关正态数据的能力指标计算的详细信息。
对于具有均值 μ 和标准差 σ 的过程特征,基于总体的能力指标定义如下:对于样本观测,参数将被其估计值取代:
Cp = 
Cpl = 
Cpu = 
Cpk = 
Cpm = 
目标指标 = 
这些公式使用以下符号:
LSL = 下规格限
USL = 上规格限
T = 目标值
对于“组内 Sigma”能力的估计值,σ 使用您指定的子组方法估计。对于“总 Sigma”能力的估计值,σ 使用样本标准差估计。若任一规格限缺失,包含缺失规格限的能力指标将报告为缺失。
注意:使用默认的 AIAG (Ppk) 标签时,基于“总 Sigma”的指标表示为 Pp、Ppl、Ppu 和 Ppk。若使用“总 Sigma”,指标 Cpm 的标签不变。本节中的公式使用 Cp 标签定义。
能力指标的置信区间仅可用于服从正态分布的过程。同时针对组内和总 Sigma 能力计算置信区间,并且显示在“单项详细报表”中。
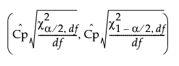
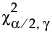
Cp 的 100(1 - α)% 置信区间计算如下:

其中
是 Cp 的估计值
是具有 df 个自由度的卡方分布的第 (α/2) 分位数。
df 是自由度
N 是观测数
m 是子组数
对于“总 sigma”能力,自由度等于 N - 1。
对于组内 Sigma 能力,自由度取决于子组和组内 sigma 估计方法。
• 对于具有不平衡子组的组内 Sigma 能力,无论采用哪种组内 sigma 估计方法,自由度的计算都相同。自由度等于 N - m。
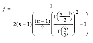
• 对于具有大小为 n = N/m 的平衡子组的组内 Sigma 能力,自由度的计算取决于组内 sigma 估计方法。
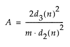
‒ 通过无偏标准差的平均值估计组内 Sigma 时,自由度等于 f * (N - m)。尺度因子 f(在 0.875 和 1 之间变动)定义如下:

其中,Γ(n) 是在 n 处计算出的 gamma 函数。
详细信息,请参见 Bissell (1990)。
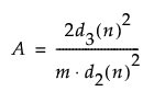
‒ 通过极差的平均值估计组内 Sigma 时,自由度计算为 df = 1/A - (3/16) * A + (3/64) * A2 + 0.25。A 定义如下:

d2(n) 是服从单位标准差正态分布的 n 个自变量的极差的期望值
d3(n) 是服从单位标准差正态分布的 n 个自变量的极差的标准差
详细信息,请参见 David (1951)。
‒ 通过无偏合并标准差估计组内 Sigma 时,自由度等于 N - m。
• 对于无子组的组内 Sigma 能力,自由度的计算取决于组内 sigma 估计方法。
‒ 通过平均移动极差估计组内 Sigma 时,自由度计算为 0.62 * (N - 1)。
‒ 通过移动极差的中位数估计组内 Sigma 时,自由度计算为 0.32 * (N - 1)。
详细信息,请参见 Wheeler (2004, p. 82)。
Cpk 的 100(1 - α)% 置信区间计算如下:

其中
是 Cpk 的估计值
是标准正态分布的第 (1 - α/2) 个分位数
df 是自由度
N 是观测数
m 是子组数
对于“总 sigma”能力,自由度等于 N - 1。
对于组内 Sigma 能力,自由度取决于子组和组内 sigma 估计方法。
• 对于具有不平衡子组的组内 Sigma 能力,无论采用哪种组内 sigma 估计方法,自由度的计算都相同。自由度等于 N - m。
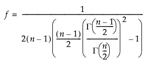
• 对于具有大小为 n = N/m 的平衡子组的组内 Sigma 能力,自由度的计算取决于组内 sigma 估计方法。
‒ 通过无偏标准差的平均值估计组内 Sigma 时,自由度等于 f * (N - m)。尺度因子 f(在 0.875 和 1 之间变动)定义如下:

其中,Γ(n) 是在 n 处计算出的 gamma 函数。
详细信息,请参见 Bissell (1990)。
‒ 通过极差的平均值估计组内 Sigma 时,自由度计算为 df = 1/A - (3/16) * A + (3/64) * A2 + 0.25。A 定义如下:

d2(n) 是服从单位标准差正态分布的 n 个自变量的极差的期望值
d3(n) 是服从单位标准差正态分布的 n 个自变量的极差的标准差
详细信息,请参见 David (1951)。
‒ 通过无偏合并标准差估计组内 Sigma 时,自由度等于 N - m。
• 对于无子组的组内 Sigma 能力,自由度的计算取决于组内 sigma 估计方法。
‒ 通过平均移动极差估计组内 Sigma 时,自由度计算为 0.62 * (N - 1)。
‒ 通过移动极差的中位数估计组内 Sigma 时,自由度计算为 0.32 * (N - 1)。
详细信息,请参见 Wheeler (2004, p. 82)。
注意:仅当目标值位于下规格限和上规格限的中心时才计算 Cpm 的置信区间。
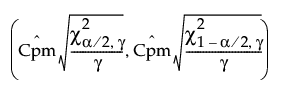
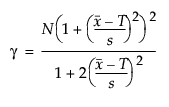
Cpm 的 100(1 - α)% 置信区间计算如下:

其中
是 Cpm 的估计值
是具有 γ 个自由度的卡方分布的第 (α/2) 个分位数。

N 是观测数
是观测的均值
T 是目标值
s 是 sigma 估计值
对于总 Sigma 能力,s 是“总 Sigma”估计值。对于“组内 Sigma”能力,s 将被“组内 Sigma”估计值取代。
提示:有关 Cp、Cpk 和 Cpm 的置信区间的详细信息,请参见 Pearn and Kotz (2006)。
Cpl 和 Cpu 的上下置信限使用 Chou et al. (1990) 有关 T 统计量的说明。
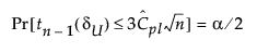
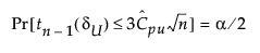
Cpl 的 100(1 - α)% 置信限(用 CPLL 和 CPLU 表示)满足以下等式:
其中 
其中 
其中
tn-1(δ) 服从有 n - 1 个自由度和非中心参数 δ 的非中心 t 分布
是 Cpl 的估计值
Cpu 的 100(1 - α)% 置信限(用 CPUL 和 CPUU 表示)满足以下等式:
其中 
其中 
其中
tn-1(δ) 服从有 n - 1 个自由度和非中心参数 δ 的非中心 t 分布
是 Cpu 的估计值