发布日期: 11/15/2021

U 图和 C 图的控制限

使用以下公式计算下控制限 (LCL) 和上控制限 (UCL):

U 图下控制限 = Equation shown here

U 图上控制限 = Equation shown here

C 图下控制限 = Equation shown here

C 图上控制限 = Equation shown here

限值随 ni 变化。

ui 是第 i 个子组中的每单位不合格项数。通常,ui = ci/ni

K 是 sigma 乘数,且默认设置为 3

ci 是第 i 个子组中的不合格项总数

ni 是第 i 个子组中的检查单位数

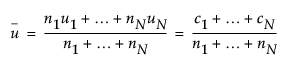
Equation shown here 是从各个子组中抽取的每单位不合格项的平均数。数量 Equation shown here 计算为加权平均值

Equation shown here

N 是子组数

需要更多信息?有问题?从 JMP 用户社区得到解答 (community.jmp.com).