在一些应用程序中,关注的测量值是通过/失败(二项)测量值。在本例中,您将为具有一个设计因子的二项响应构造一个非线性设计。有关非线性设置中的设计(尤其是这个二项情形)的详细信息,请参见 Gotwalt et al.(2009)。
您计划使用具有 Logistic 连结函数的广义线性模型并将 Y 的方差作为权重,

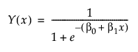
对作为单个因子 x 的函数的二项响应的成功概率建模。
该模型对未知参数 β0 和 β1 是非线性关系。使用非线性设计器来计划实验设计。您的目标是针对 x 对二项响应 Y 的影响建模。
要生成所需的非线性设计,您必须有一个数据表,其中包含预测变量的列、包含表示您拟合的非线性响应模型公式的列以及包含权重公式的列。
用于设计构造的数据表
One Factor Logistic Design.jmp 数据表位于 Design Experiment 文件夹下,它包含以下内容:
• 用于预测变量的列 x。为该列定义的“编码”属性将低值设置为 0,高值设置为 1。
• 用于响应的列 Y。这是用于从您的试验中收集到的响应 (0/1) 的列。
• 包含连结函数线性部分的公式的列 Linear Pred。要查看该公式,请点击“列”面板中 Linear Pred 右侧的加号。模型公式包括参数 b0 和 b1 的初始估计值。初始参数值是在您定义公式时设置的。这些值显示在公式编辑器窗口中间靠下的公式元素面板中。
图 23.11 带有初始参数估计值的线性预测变量公式
• 列 Var Y,其中包含基于假定的 Logistic 模型的响应的方差公式。即 p(1-p),其中,p 是 Logistic 函数。该列用作权重列。
• 包含 Logistic 连结函数的列 Pred P。
1. 选择帮助 > 样本数据库,然后打开 Design Experiment/One Factor Logistic Design.jmp。
2. 选择实验设计 > 特殊目的 > 非线性设计。
3. 选择 Y 并点击 Y,响应。
4. 选择 Linear Pred 并点击 X,预测变量公式。
5. 选择 Var Y 并点击权重。
6. 点击确定。
图 23.12 “非线性设计”窗口
“因子”分级显示项显示带有 0 和 1 这两个指定值的因子 x。“参数”分级显示项显示其先验分布均设置为正态分布的两个模型参数。JMP 根据您对参数值的初始设置计算默认值。您可以更改该分级显示项中的参数的假设分布和范围。让所有设置保持原样。默认试验次数设置为 10。
7. 点击“非线性设计”红色小三角,然后选择高级选项 > Monte Carlo 球数。将球数设置为 0 以获取局部最优设计。点击确定。
8. 点击制作设计。
9. 点击扩充表。
这会向 One Factor Logistic Design.jmp(图 23.13)添加 10 次试验设计。因为优化算法具有随机成分,因此设计表将有所不同。
图 23.13 扩充 One Factor Logistic Design.jmp
保存至数据表的模型是一个非线性模型,用来拟合创建设计时使用的“Linear Pred”。收集数据后,要为 x 对 Y 的影响建模,请使用带有 Logit 连结函数的广义线性模型 (GLM)。