使用田口设计研究针对三个噪声因子评估的四个控制因子。本例采用 Byrne and Taguchi (1986) 中所述的实验。该实验的目的是要找出可将尼龙管的粘度(黏着力)最大化的控制因子设置。
设计中包含四个信号因子:
干扰
尼龙管和连接器干扰。具有 3 个水平的符号因子。
壁厚
连接器壁厚。具有 3 个水平的符号因子。
深度
尼龙管插入连接器的深度。具有 3 个水平的符号因子。
粘度
粘度百分比。具有 3 个水平的符号因子。
设计中包含三个噪声因子:
时间
条件时间。具有 2 个水平的噪声因子。
温度
温度。具有 2 个水平的噪声因子。
湿度
相对湿度。具有 2 个水平的噪声因子。
1. 选择实验设计 > 经典 > 田口数组。
2. 选择帮助 > 样本数据库,然后打开 Design Experiment/Byrne Taguchi Factors.jmp。
3. 在“田口数组”窗口中,点击“田口设计”红色小三角菜单并选择加载因子。
因子面板随后显示四个三水平控制(信号)因子和三个噪声因子。
注意:为响应选定的“目标”确定添加到设计数据表的信噪比公式。
4. 确保为内表选定了 L9 - 田口。
5. 为外表设计点击 L8。
图 14.2 完成的“田口设计”窗口
6. 点击继续。
7. 点击制表创建图 14.3 中显示的设计表。
内表针对四个信号因子(每个因子都有三个水平)有九次试验。信号因子设置在表中前四列中提供。
外部设计是针对三个两水平噪声因子的完全析因设计。外表在设计表的八个列中提供。列名是外表试验的模式。例如,名为“---”的列用于在所有噪声水平都位于其低水平时收集的结果。针对八个噪声因子组合中的每一个执行这九次试验中的每一次试验,总共有 72 次试验。
图 14.3 输入数据之前的田口设计
设计表允许输入 72 个实验结果。
8. 选择帮助 > 样本数据库,然后打开 Design Experiment/Byrne Taguchi Data.jmp。
图 14.4 完成的田口设计表 (Byrne Taguchi Data.jmp)
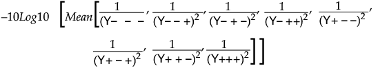
信噪比 Y 列是将响应最大化的性能统计量(越大越好)。该统计量用 –10 乘以响应的平方倒数平均值的常用对数计算得出:

当所有单个 y 响应值都很大时,该表达式也会很大。也就是说,您要尽量查找针对噪声设置生成最大响应的信号设置。
现在可以分析数据了。分析目标是要找出可将均值和信噪比同时最大化的因子设置。
1. 在 Byrne Taguchi Data.jmp 数据表中,点击绿色箭头以运行“模型”脚本。
图 14.5 田口数据的“拟合模型”启动窗口
该脚本启动“拟合模型”窗口。模型包含四个信号因子的主效应,以便对均值(均值 Y)和信噪比(信噪比 Y)响应建模。
2. 点击运行。
可使用报表底部的“预测刻画器”快速找出为该实验提供最高信噪比的设置以及该最大值处的均值。
图 14.6 预测刻画器
3. 点击“预测刻画器”红色小三角,然后选择优化和意愿 > 意愿函数。
这将向刻画器添加一行迹线和一列函数设置,如图 14.7 所示。默认意愿函数设置为“望大特性”,这正是您要在该实验中实现的目标。有关预测刻画器中的意愿函数的详细信息,请参见《刻画器指南》中的刻画器。
4. 点击“预测刻画器”红色小三角并选择优化和意愿 > 最大化意愿。
图 14.7 Byrne Taguchi 数据的最佳因子设置
在本例中,干扰和壁厚的最优设置为 2,深度的最优设置为 3,粘度的最优设置为 1。这些设置生成的预测均值为 22.8,信噪比为 26.9。