当启动窗口中未指定历史行数时,所有数据都被视为历史数据。请参见启动“模型驱动的多元控制图”平台。
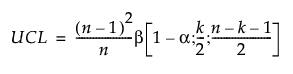
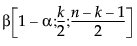
历史数据的上控制限 (UCL) 基于 Beta 分布并定义如下:

其中:
n = 历史数据观测数
k = PCA 或 PLS 成分数
= Beta
分布的第 (1−α) 分位数。
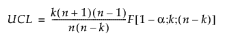
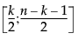
当前数据的上控制限基于 F 分布并定义如下:

其中:
n = 历史数据观测数
k = PCA 或 PLS 成分数
F(1−α; k; n−k) = F(k; n−k) 分布的第 (1−α) 分位数。
对于 PCA 和 PLS 模型,上控制限基于 F 分布。PCA 模型的 DModX 上控制限定义为:

其中:
df1 = p−k
df2 = (n−k−1)(p−k)(若数据已中心化);或为 (n−k)(p−k)(若数据未中心化)
n = 历史数据观测数
k = PCA 成分数
p = 变量数
F(1−α; n−p−1; p−k) = F(n−p−1; p−k) 分布的第 (1−α) 分位数
PLS 模型的 DModX 上控制限定义为:

其中:

= SPE 的历史样本均值
= SPE 的历史样本方差
n = 历史数据观测数
F(1−α; h; nh) = F(h; nh) 分布的第 (1−α) 分位数。
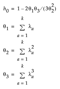
PCA 模型的 SPE 上控制限定义为:

其中:

λa = 第 a 个特征值
k = PCA 成分数
z1−α = 标准正态分布的第 (1−α) 分位数
有关用于 PCA 模型的 SPE 控制限的详细信息,请参见 Jackson and Mudholkar (1979)。
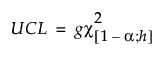
对于 PLS 模型,上控制限基于卡方分布并定义如下:

其中


= SPE 的历史样本均值
= SPE 的历史样本方差
Χ2(1−α; h) = Χ2(h) 分布的第 (1−α) 分位数
g 和 h 参数通过矩量法估计。有关用于 PCA 模型的 SPE 控制限的详细信息,请参见 Nomikos (1995)。