使用“单样本均值的区间分析器”可确定置信区间、预测区间或容差区间的样本大小。选择实验设计 > 样本大小分析器 > 置信区间 > 单样本均值的误差幅度。探索在变异性假设、样本大小、显著性和误差幅度之间如何权衡。
使用单选按钮、文本框和滑块设置研究假设并探索样本大小。对设置进行更改时,曲线随之更新。或者,通过拖动曲线上的十字准线或调整轴文本框中的值来更改设置。
区间用途
置信
指定均值的置信区间。
预测
指定用于一个未来观测的预测区间。
容差
指定用于覆盖一定比例的总体的容差区间。
区间类型
界限
指定单侧区间(上限或下限)
区间
指定双侧区间。
固定参数
Alpha
指定置信水平为 1 - alpha。对于 95% 置信区间,默认 alpha 水平为 0.05。
标准差 (σ)
指定假定的标准差。
比例
(仅当为“区间用途”选择了“容差”时才可用。)指定容差区间要覆盖的总体比例。
总体标准差已知
指定计算基于已知总体标准差。
区间参数
相互关联并在进行更改时随之更新的参数。
样本大小
指定构造区间所需的总观测数(试验次数、实验单元数或样本数)。
误差幅度
(仅当为“区间类型”选定“区间”时才可用。)指定区间的半宽。在其他所有参数保持不变时,误差幅度随着样本大小的增加而减小。
界限大小
(仅当为“区间类型”选定“界限”时才可用。)指定从界限到估计值的距离。在其他所有参数保持不变时,界限随着样本大小的增加而减小。
保存设置
将当前设置保存至“已保存设置”表。这样您就可以保存一套备选研究计划。请参见样本大小分析器中的已保存设置。
制成数据收集表
创建可用于数据收集的新数据表。
若 σ 已知,则每种区间类型的计算都使用基于标准正态分布的过程,否则使用 t 分布过程或近似过程。
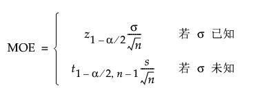
置信区间的误差幅度 (MOE) 计算如下:

界限计算为:

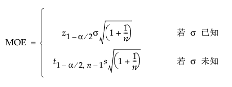
预测区间的误差幅度 (MOE) 计算如下:

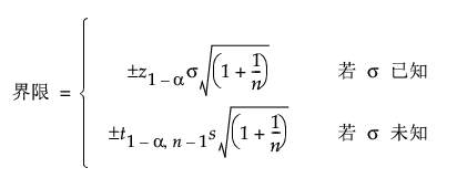
界限计算为:

对于总体的比例 q 上的容差区间,基于 Krishnamoorthy and Mathew (2009) 中所述的近似过程计算误差幅度或界限。
容差区间的误差幅度 (MOE) 计算如下:

界限计算为:

其中 N 是表示渐近行为的适度大的整数值。JMP 将 N 的值设置为 2000。