使用“单样本比例的区间分析器”可确定置信区间的样本大小。选择实验设计 > 样本大小分析器 > 置信区间 > 单样本比例的误差幅度。探索在假设比例、样本大小、显著性和区间的误差幅度之间如何权衡。计算使用正态近似。
使用单选按钮、文本框和滑块设置研究假设并探索样本大小。对设置进行更改时,曲线随之更新。或者,通过拖动曲线上的十字准线或调整轴文本框中的值来更改设置。
区间类型
界限
指定单侧区间(上限或下限)
区间
指定双侧区间。
固定参数
Alpha
指定置信水平,1 - alpha。对于 95% 置信区间,默认 alpha 水平为 0.05。
区间参数
相互关联并在进行更改时随之更新的参数。
比例
指定区间的假设比例。
样本大小
指定构造区间所需的总观测数(试验次数、实验单元数或样本数)。
误差幅度
指定区间的半宽。在其他所有参数保持不变时,误差幅度随着样本大小的增加而减小。
保存设置
将当前设置保存至“已保存设置”表。这样您就可以保存一套备选研究计划。请参见样本大小分析器中的已保存设置。
制成数据收集表
创建可用于数据收集的新数据表。
用于捕获总体比例的区间计算基于 Agresti-Coull 方法,请参见 Agresti and Coull(1998)。
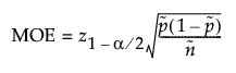
置信区间的误差幅度 (MOE) 计算如下:

界限计算为:

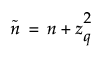
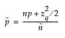
其中

且

且 q = 1 - α/2(对于区间),q = 1 - α(对于界限)。