使用“单样本方差的区间分析器”可确定置信区间的样本大小。选择实验设计 > 样本大小分析器 > 置信区间 > 单样本方差的误差幅度。探索在样本大小、显著性和区间的误差幅度之间如何权衡。
使用单选按钮、文本框和滑块设置研究假设并探索样本大小。对设置进行更改时,曲线随之更新。或者,通过拖动曲线上的十字准线或调整轴文本框中的值来更改设置。
区间类型
下限
指定单侧区间下限。
上限
指定单侧区间上限。
区间
指定双侧区间。
固定参数
Alpha
指定置信水平,1 - alpha。对于 95% 置信区间,默认 alpha 水平为 0.05。
区间参数
相互关联并在进行更改时随之更新的参数。
样本大小
指定构造区间所需的总观测数(试验次数、实验单元数或样本数)。
区间宽度
指定区间的完全宽度。在其他所有参数保持不变时,区间宽度随着样本大小的增加而减小。
保存设置
将当前设置保存至“已保存设置”表。这样您就可以保存一套备选研究计划。请参见样本大小分析器中的已保存设置。
制成数据收集表
创建可用于数据收集的新数据表。
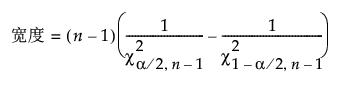
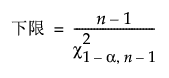
用于捕获总体方差的区间计算基于 Χ2 分布。请注意,区间界限并非围绕样本估计值对称。
区间宽度计算为:

下限计算为:

上限计算为:
