使用“两个独立样本方差的区间分析器”可确定置信区间的样本大小。选择实验设计 > 样本大小分析器 > 置信区间 > 两个独立样本方差的误差幅度。探索在样本大小、显著性和区间的误差幅度之间如何权衡。
使用单选按钮、文本框和滑块设置研究假设并探索样本大小。对设置进行更改时,曲线随之更新。或者,通过拖动曲线上的十字准线或调整轴文本框中的值来更改设置。
区间类型
下限
指定单侧区间下限。
上限
指定单侧区间上限。
区间
指定双侧区间。
固定参数
Alpha
指定置信水平,1 - alpha。对于 95% 置信区间,默认 alpha 水平为 0.05。
区间参数
组 1 样本大小
指定您实验中的“组 1”需要的总观测数(试验次数、实验单元数或样本数)。选择“锁定”以锁定“组 1”样本大小。
组 2 样本大小
指定您实验中的“组 2”需要的总观测数(试验次数、实验单元数或样本数)。选择“锁定”以锁定“组 2”样本大小。
总样本大小
指定您实验中需要的总观测数(试验次数、实验单元数或样本数)。误差幅度曲线基于总样本大小。
提示:调整一组的样本大小会影响第二组的样本大小,而总样本大小不变。调整总样本大小会按比例调整两个组,除非锁定其中一个组。只能锁定一个组样本大小。
区间宽度
指定区间的完全宽度。在其他所有参数保持不变时,区间宽度随着样本大小的增加而减小。
保存设置
将当前设置保存至“已保存设置”表。这样您就可以保存一套备选研究计划。请参见样本大小分析器中的已保存设置。
制成数据收集表
创建可用于数据收集的新数据表。
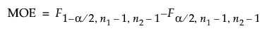
用于捕获两个总体方差的区间计算基于 F 分布。误差幅度 (MOE) 计算为:

下限计算为:

上限计算为:
