最大熵设计是用于计算机实验的拉丁超立方体设计的一种替代方案。拉丁超立方体设计是一种很受欢迎的与高斯过程模型配合使用的设计。计算机模拟专家喜欢使用拉丁超立方设计,这是因为到坐标轴的所有投影是均匀的。
但是,正如图 21.20 中的示例所示,拉丁超立方设计可能不能为您提供最优空间填充属性。该示例是双因子 16 次试验的拉丁超立方设计,它将因子水平设置在 -1 到 1 之间。双因子图显示该设计具有缺失覆盖的区域。特别是对接近 0 的 X1 和接近 -1 的 X2 覆盖很差。
图 21.20 双因子的拉丁超立方设计
最大熵设计优化了实验中所含信息量的测量。请参见下面的技术说明。将因子水平设置在 -1 到 1 之间,图 21.21 中所示的双因子最大熵设计比图 21.20 中所示的拉丁超立方设计更好地覆盖了该区域。当试验次数增加时,设计的空间填充属性会改善。
图 21.21 双因子最大熵设计
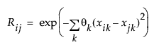
技术说明:假定数据来自正态 (m, s2 R) 分布,最大熵设计使实验的 Shannon 信息(Shewry 和 Wynn (1987))最大化,其中

是两个不同设计点 xi 和 xj 上响应值的相关性。在计算上而言,这些设计使 |R|(样本的相关性矩阵的行列式)最大化。若 xi 和 xj 相距很远,则 Rij 接近于 0。若 xi 和 xj 相距很近,则 Rij 接近于 1。