当数据表中的某个列表示混料的成分时,“混料”列属性很有用。混料成分之和被限制为一个常数。因此,它们与非混料因子不同。“混料”列属性有两个用途:
• 它将列标识为混料成分。
若您在“分析 > 拟合模型”窗口中将具有“混料”列属性的列添加为模型效应,JMP 会自动生成一个没有截距的模型。
• 它定义混料成分的编码。
混料成分的编码不同于非混料因子的编码。但是,和非混料因子一样,混料因子的编码可以帮助您解释参数估计值。请参见伪成分编码。
图 A.19 显示 Design Experiment 文件夹下 Vinyl Data.jmp 样本数据表中因子 m1 的“混料”列属性面板。
图 A.19 “混料”列属性面板
在“混料”列属性面板中,可以指定以下内容:
下限
指定在伪成分编码中使用的低值。“混料”属性作为实验设计平台中设计构造的一部分应用时,“下限”设置为因子的最小设置。当您将“混料”属性应用到不包含该属性的列时,JMP 插入最小值作为“下限”。您可以按需更改该值。
上限
指定在伪成分编码中使用的高值。“混料”属性作为实验设计平台中设计构造的一部分应用时,“上限”设置为因子的最大设置。当您将“混料”属性应用到不包含该属性的列时,JMP 插入最大值作为“上限”。您可以按需更改该值。
项总和
指定混料成分之和。当您将“混料”属性应用到不包含该属性的列时,JMP 为“项总和”插入默认值 1。
L 伪成分编码
变换数据值使得“下限”对应于 0。
U 伪成分编码
变换数据值使得“上限”对应于 0。
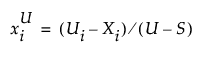
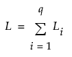
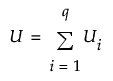
伪成分是线性变换。用 S 表示混料成分之和。假定给 i 个列 X1、X2、…、Xq 分配了“混料”列属性。假定列和根据这些列构造的效应在“拟合模型”窗口中作为效应输入。
定义以下公式:
,其中 Li 是 Xi 的下限
,其中 Ui 是 Xi 的上限
用 xi 表示列 Xi 的值。按以下方式定义 xi 处的 L 伪成分:

按以下方式定义 xi 处的 U 伪成分:

若您同时选择 L 伪成分编码和 U 伪成分编码,若 (S – L) < (U – S),“拟合模型”平台将使用 L 编码 。否则使用 U 编码。
在“拟合模型”中,计算参数估计值前会使用伪成分变换混料因子。这可以使参数估计值更有意义。在处理参数估计值的报表中,通过编码变换给出混料主效应。其他报表(如刻画器)基于未编码的值。