预测和专业建模 > 拟合曲线 > “拟合曲线”平台的统计详细信息
发布日期: 11/15/2021

“拟合曲线”平台的统计详细信息

模型公式

表 14.1 提供了“拟合曲线”红色小三角菜单中的模型的公式。

表 14.1 “拟合曲线”模型公式

模型

公式

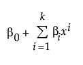
多项式

Image shown here

Equation shown here

其中,k 是多项式的阶数。您也可以使用“拟合模型”平台和“以 X 拟合 Y”平台拟合这些模型。

双参数 Logistic

Image shown here

Equation shown here

a = 增长率

b = 拐点

仅当所有响应值都介于 0 到 1 之间时才可用。

三参数 Logistic

Image shown here

Equation shown here

a = 增长率

b = 拐点

c = 渐近线

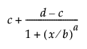
四参数 Logistic

Image shown here

Equation shown here

a = 增长率

b = 拐点

c = 下渐近线

d = 上渐近线

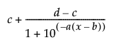
四参数 Logistic Rodbard

Image shown here

Equation shown here

a = 增长率

b = 拐点

c = 下渐近线

d = 上渐近线

仅当回归变量值为正时才可用。

四参数 Logistic Hill

Image shown here

Equation shown here

a = 增长率

b = 拐点

c = 下渐近线

d = 上渐近线

五参数 Logistic

Image shown here

Equation shown here

a = 增长率

b = 拐点

c = 渐近线 1

d = 渐近线 2

f = 幂次

双参数 Probit

Image shown here

Equation shown here

a = 增长率

b = 拐点

Φ = 正态分布 CDF

仅当所有响应值都介于 0 到 1 之间时才可用。

四参数 Probit

Image shown here

Equation shown here

a = 增长率

b = 拐点

c = 渐近线 1

d = 渐近线 2

Φ = 正态分布 CDF

三参数 Gompertz

Image shown here

Equation shown here

a = 渐近线

b = 增长率

c = 拐点

四参数 Gompertz

Image shown here

Equation shown here

a = 下渐近线

b = 上渐近线

c = 增长率

d = 拐点

Weibull 生长

Image shown here

Equation shown here

a = 上渐近线

b = 增长率

c = 拐点

仅当响应值和回归变量值均为非负值时才可用。

双参数指数

Image shown here

Equation shown here

a = 尺度

b = 增长率

三参数指数

Image shown here

Equation shown here

a = 渐近线

b = 尺度

c = 增长率

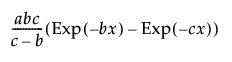
四参数双指数

Image shown here

Equation shown here

a = 尺度 1

b = 衰减率 1

c = 尺度 2

d = 衰减率 2

仅当响应值为正时才可用。

五参数双指数

Image shown here

Equation shown here

a = 渐近线

b = 尺度 1

c = 衰减率 1

d = 尺度 2

f = 衰减率 2

机理生长

Image shown here

Equation shown here

a = 渐近线

b = 尺度

c = 增长率

四参数细胞生长

Image shown here

Equation shown here

a = 峰值(若为死亡比率)d 为零

b = 时间 0 处的响应

c = 单元格分区比率

d = 单元格死亡比率

仅当响应值为正且回归变量值非负时才可用。

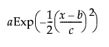
高斯峰

Image shown here

Equation shown here

a = 峰值

b = 临界点

c = 增长率

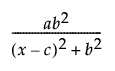
Lorentzian 峰

Image shown here

Equation shown here

a = 峰值

b = 增长率

c = 临界点

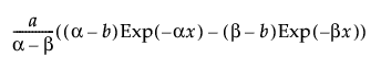
单室口服剂量模型

Image shown here

Image shown here

Equation shown here

a = 曲线下面积

b = 消除率

c = 吸收率

仅当响应值和回归变量值全为正值时才可用。

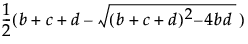
双室快速静脉注射剂量模型

Image shown here

Image shown here

Equation shown here

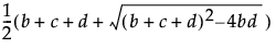
α =Equation shown here

β =Equation shown here

a = 初始浓度

b = 入向传输率

c = 出向传输率

d = 消除率

仅当响应值和回归变量值全为正值时才可用。

Michaelis Menten

Image shown here

Equation shown here

a = 最大反应率

b = 逆亲和性

仅当响应值和回归变量值全为正值时才可用。

需要更多信息?有问题?从 JMP 用户社区得到解答 (community.jmp.com).