在单因子方差分析中,由名义型变量标识的不同组分别拟合不同的均值。要为 JMP 指定模型,选择一个连续响应列和一个名义型效应列。本例使用 Drug.jmp 中的数据。
1. 选择帮助 > 样本数据库,然后打开 Drug.jmp。
2. 选择分析 > 拟合模型。
3. 选择 y 并点击 Y。
4. 选择药物,然后点击添加。
5. 点击运行。
在本例中,药物包含三个水平:a、d 和 f。标准最小二乘法拟合方法将该规格转换为线性模型:名义型变量定义一系列指标变量,这些变量的值假定只包含 1、0 和 –1。线性模型指定如下:

其中:
‒ yi 是第 i 个观测的观测响应
‒ x1i 是第 i 个观测对应的第一个指标变量的值
‒ x2i 是第 i 个观测对应的第二个指标变量的值
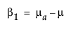
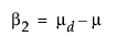
‒ β0、β1 和 β2 分别为截距、第一个指标变量和第二个指标变量的参数。
‒ εi 是相互独立的服从正态分布的误差项
第一个指标变量 x1 定义如下。请注意,药物 = a 为指标变量提供了值 1,药物 = d 提供了值 0,药物 = f 提供了值 –1:

第二个指标变量 x2 具有以下值:

按照这种参数化,三个水平对应的均值估计值定义如下:



对 βi 求解将生成以下结果:
(各水平下的平均值)


因此,若回归变量编码为每个水平的指标变量减去最后一个水平的指标变量,那么可以将某个水平的参数解释为该水平的响应与所有水平下的平均响应之间的差值。请参见附录统计详细信息,获取有关名义型因子的参数解释的更多信息。
图 4.1 显示药物效应的“杠杆图”和“最小二乘均值表”。图 4.2 显示药物数据的单因子分析的“参数估计值”和“效应检验”报表。
图 4.1 “药物”的“杠杆图”和“最小二乘均值表”
图 4.2 Drug.jmp 的“参数估计值”和“效应检验”
使用最小二乘均值的对比可以更详尽地研究药物效应:
1. 点击“药物”红色小三角并选择最小二乘均值对比。
2. 点击药物 a 和药物 d 对应的 + 框,并点击药物 f 对应的 - 框,定义药物 a 和药物 d 的平均值与药物 f 之间的对比(如图 4.3 所示)。
3. 点击完成。
图 4.3 药物实验的对比示例
“对比”报表显示药物 f 的最小二乘均值与其他两种药物的最小二乘均值的平均值存在显著差异。