使用“参数可靠性的验证分析器”可确定在用于可靠性验证的检验中投入的单元数。选择实验设计 > 样本大小分析器 > 可靠性 > 参数可靠性验证。探索在时间、显著性、失效次数和待检单元数之间如何权衡。
使用单选按钮、文本框和滑块设置研究假设并探索样本大小。对设置进行更改时,曲线随之更新。或者,通过拖动曲线上的十字准线或调整轴文本框中的值来更改设置。
固定参数
Alpha
指定 I 类误差的概率,即当原假设为真时拒绝原假设的概率。它通常是指检验的显著性水平。默认 alpha 水平为 0.05。
分布
指定假定的失效时间分布。可用的分布包括:Weibull 和对数正态。有关这些分布的详细信息,请参见《可靠性和生存方法》中的“寿命分布”平台的统计详细信息。
验证时间
指定待检项应在预定可靠性下生存的最短时间长度。
验证可靠性
指定待检项生存到定义的可靠性标准“验证时间”的概率。
尺度参数
指定失效时间分布的尺度参数。
注意:指定的“分布”为“Weibull”时,“尺度”字段用 Weibull β 表示。
验证参数
相互关联并在进行更改时随之更新的参数。
允许的最大失效次数
指定成功的检验验证允许的最大失效次数。
样本大小
指定验证所需的试验单元总数。
检验时间
指定验证检验的时间长度。
保存设置
将当前设置保存至“已保存设置”表。这样您就可以保存一套备选研究计划。请参见样本大小分析器中的已保存设置。
制成数据收集表
创建可用于数据收集的新数据表。
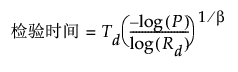
对于参数可靠性验证检验,使用二项分布计算验证产品达到验证时间 Td 且可靠性为 Rd 所需的检验时间,该二项分布使用了从假定的寿命分布计算出的成功概率。
Weibull 分布的检验时间计算为:

对数正态分布的检验时间计算为:

其中


且 c 是验证期间允许的最大失效次数。