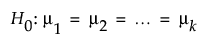
使用“方差分析的功效分析器”可确定要使用方差分析进行分析的 k 个组或处理的研究的样本大小。选择实验设计 > 样本大小分析器 > 功效 > 方差分析的功效。探索在变异性假设、样本大小、功效和显著性之间如何权衡。样本大小与功效与以下假设检验相关联:

与双侧备择假设:
Ha:并非所有均值都相等
其中:

使用单选按钮、文本框和滑块设置研究假设并探索样本大小。对设置进行更改时,曲线随之更新。或者,通过拖动曲线上的十字准线或调整轴文本框中的值来更改设置。
固定参数
Alpha
指定 I 类误差的概率,即当原假设为真时拒绝原假设的概率。它通常是指检验的显著性水平。默认 alpha 水平为 0.05。
组数
指定实验中的组或处理数。
组内方差 (σ2)
指定假定各组间标准差相等时每组的假定方差。
检验参数
相互关联并在进行更改时随之更新的参数。
组间方差
指定围绕总均值的单个组均值的方差。
样本大小(每组)
指定实验中每组所需的观测数(试验次数、实验单元数或处理数)。
功效
指定当原假设为假时拒绝原假设的概率。在其他所有参数保持不变时,功效随着样本大小的增加而增加。
保存设置
将当前设置保存至“已保存设置”表。这样您就可以保存一套备选研究计划。请参见样本大小分析器中的已保存设置。
制成数据收集表
创建可用于数据收集的新数据表。
假定每个组的标准差相等,用于检验多个组的均值之间的差值的功效计算基于标准 F 检验。功效 (1-β) 计算如下:

其中
F(df1, df2, λ) 是具有非中心参数 λ 的非中心 F 分布。
K 是组数
n 是每组内的样本数(假定所有组的样本数都相同)
N = nK
σ2BG 是组均值围绕总均值的变异
σ2 是组内方差(假定所有组都相同)