使用“单样本均值的功效分析器”可确定关于一个均值的假设检验的样本大小。选择实验设计 > 样本大小分析器 > 功效 > 单样本均值的功效。探索在变异性假设、样本大小、功效、显著性和假设的待检差值之间如何权衡。样本大小与功效与以下假设检验相关联:

与双侧备择假设:

或与单侧备择假设:
或者 
其中 μ 是真均值,μ0 是原假设均值或参考值。均值偏离 μ0 的差值 Δ,是您认为重要而需要检测的量。对于相同的显著性水平和功效,检测小差值与检测大差值相比,前者需要更大的样本大小。假定关注的总体服从均值为 μ、标准差为 σ 的正态分布。
使用单选按钮、文本框和滑块设置研究假设并探索样本大小。对设置进行更改时,曲线随之更新。或者,通过拖动曲线上的十字准线或调整轴文本框中的值来更改设置。
检验类型
指定单侧或双侧假设检验。
固定参数
Alpha
指定 I 类误差的概率,即当原假设为真时拒绝原假设的概率。它通常是指检验的显著性水平。默认 alpha 水平为 0.05。
标准差 (σ)
指定假定的标准差。
提示:使用标准差 1 估计检测差值(用标准差单位数表示)所需的样本大小。
总体标准差已知
指定使用基于已知总体标准差的计算。
检验参数
相互关联并在进行更改时随之更新的参数。
待检差值 (Δ)
指定真均值和假设均值(或参考均值)之间的最小差值,您希望能称为在统计上显著。
样本大小
指定您实验中需要的总观测数(试验次数、实验单元数或样本数)。
功效
指定当原假设为假时拒绝原假设的概率。在其他所有参数保持不变时,功效随着样本大小的增加而增加。
保存设置
将当前设置保存至“已保存设置”表。这样您就可以保存一套备选研究计划。请参见样本大小分析器中的已保存设置。
制成数据收集表
创建可用于数据收集的新数据表。
当 σ 未知时,单样本均值计算基于传统 t 检验。对于 σ 已知的情况,计算使用 z 检验。对于 σ 未知的情况,根据备择假设计算功效。
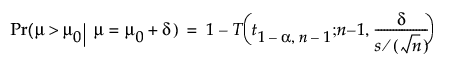
对于单侧、上侧备择假设:

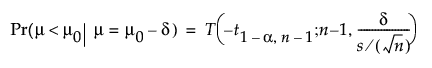
对于单侧、下侧备择假设:

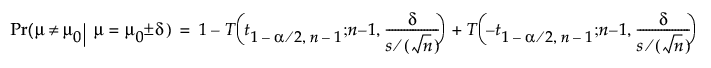
对于双侧备择假设:

其中:
α 是显著性水平。
n 是样本大小。
s 是标准差
δ 是待检差值。
t1-α,ν 是自由度为 ν 的中心 t 分布的第 (1 - α) 分位数
T(t; ν, λ) 是自由度为 ν 且非中心参数为 λ 的非中心 t 分布的累积分布函数。
若 σ 已知,则在上述用于功效计算的公式中使用 z 分布和 σ。由于 δ 和 n 的闭合形式的解不存在,则使用数值例程对其求解。