使用“单样本方差的功效分析器”可确定关于一个方差的假设检验的样本大小。选择实验设计 > 样本大小分析器 > 功效 > 单样本方差的功效。探索在样本大小、功效、显著性和假设的待检差值(定义为原假设值与备择假设值之间的比率)之间如何权衡。样本大小与功效与以下假设检验相关联:

与双侧备择假设:

或与单侧备择假设:
或者 
其中,σ 是真实方差,σ0 是原方差或参考值。标准差偏离 σ0 的差值,是您认为重要、需要检测的量(基于一组样本检测)。该差值表示为 σ0/σa 的比值,或是备择假设下的原方差与假设方差的比值。对于相同的显著性水平和功效,检测小方差差值与检测大差值相比,前者需要更大的样本大小。假定关注的总体服从均值为 μ、标准差为 σ 的正态分布。
使用单选按钮、文本框和滑块设置研究假设并探索样本大小。对设置进行更改时,曲线随之更新。或者,通过拖动曲线上的十字准线或调整轴文本框中的值来更改设置。
检验类型
指定单侧或双侧假设检验。
固定参数
Alpha
指定 I 类误差的概率,即当原假设为真时拒绝原假设的概率。它通常是指检验的显著性水平。默认 alpha 水平为 0.05。
检验参数
相互关联并在进行更改时随之更新的参数。
方差比(原/备择)
指定原假设下的方差(参考方差)与备择假设下的方差(预期方差)之间的比值。
样本大小
指定您实验中需要的总观测数(试验次数、实验单元数或样本数)。
功效
指定当原假设为假时拒绝原假设的概率。在其他所有参数保持不变时,功效随着样本大小的增加而增加。
保存设置
将当前设置保存至“已保存设置”表。这样您就可以保存一套备选研究计划。请参见样本大小分析器中的已保存设置。
制成数据收集表
创建可用于数据收集的新数据表。
用于检验单样本组方差的功效计算基于 χ2 检验。计算基于备择假设的形式。
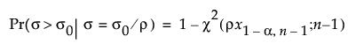
对于单侧、上侧备择假设:

对于单侧、下侧备择假设:

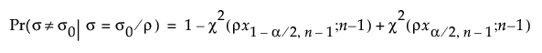
对于双侧备择假设:

其中:
α 是显著性水平。
n 是样本大小。
ρ=σa/σ0
x1-α,ν 是自由度为 ν 的中心 χ2 分布的第 (1 - α) 分位数
χ2(x, ν) 是自由度为 ν 的中心 χ2 分布的累积分布函数。