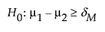
使用“两个样本等价性的功效分析器”可确定关于两个组的等价性检验的样本大小。选择实验设计 > 样本大小分析器 > 功效 > 两个独立样本等价性的功效。探索在变异性假设、样本大小、功效、显著性和等价性极差之间如何权衡。样本大小与功效与以下假设检验相关联:
或者 
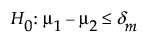
对比备择假设:

其中, μ1 和 μ2 是真实组均值,(δm, δM) 是等价性范围。对于相同的显著性水平和功效,检测小差值与检测大差值相比,前者需要更大的样本大小。假定关注的总体服从正态分布。
使用单选按钮、文本框和滑块设置研究假设并探索样本大小。对设置进行更改时,曲线随之更新。或者,通过拖动曲线上的十字准线或调整轴文本框中的值来更改设置。
等价性范围
最大差值
指定幅度,超出它的均值被视为不同于参考均值。
最小差值
指定幅度,低于该值的均值被视为不同于参考均值。
注意:通常,等价性幅度是对称的,但并不一定必须对称。
固定参数
Alpha
指定 I 类误差的概率,即当原假设为真时拒绝原假设的概率。它通常是指检验的显著性水平。默认 alpha 水平为 0.05。
组 1 标准差 (σ1)
为其中一个组“组 1”指定假定的标准差。
组 2 标准差 (σ2)
为第二个组“组 2”指定假定的标准差。
总体标准差已知
指定计算基于已知总体标准差。
检验参数
相互关联并在进行更改时随之更新的参数。
均值差值
指定用来定义等价性范围的组均值之间的差值。
组 1 样本大小
指定您实验中的“组 1”需要的总观测数(试验次数、实验单元数或样本数)。选择“锁定”以锁定“组 1”样本大小。
组 2 样本大小
指定您实验中的“组 2”需要的总观测数(试验次数、实验单元数或样本数)。选择“锁定”以锁定“组 2”样本大小。
总样本大小
指定您实验中需要的总观测数(试验次数、实验单元数或样本数)。功效曲线基于总样本大小。
提示:调整一组的样本大小会影响第二组的样本大小,而总样本大小不变。调整总样本大小会按比例调整两个组,除非锁定其中一个组。只能锁定一个组样本大小。
功效
指定当原假设为假时拒绝原假设的概率。在其他所有参数保持不变时,功效随着样本大小的增加而增加。
保存设置
将当前设置保存至“已保存设置”表。这样您就可以保存一套备选研究计划。请参见样本大小分析器中的已保存设置。
制成数据收集表
创建可用于数据收集的新数据表。
检验两个组均值等价性的功效计算基于 Chow et al. (2008) 中所述的方法。
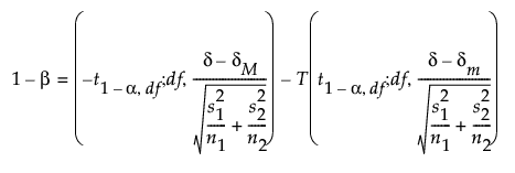
若 σ1 和 σ2 未知,功效 (1-β) 计算如下:

其中:

α 是显著性水平。
n1 和 n2 是组样本大小
s1 和 s2 是组标准差
δ 是待检差值。
(δm, δM) 是等价性极差
t1-α,ν, 是自由度为 ν 的中心 t 分布的第 (1 - α) 分位数
T(t; ν, λ) 是自由度为 ν 且非中心参数为 λ 的非中心 t 分布的累积分布函数。
若 σ 未知,则功效 (1-β) 计算如下:
