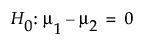
使用“两个独立样本均值的功效分析器”可确定关于两个组的均值的假设检验的样本大小。选择实验设计 > 样本大小分析器 > 功效 > 两个独立样本均值的功效。探索在样本大小、功效、显著性和假设的待检差值之间如何权衡。样本大小与功效与以下假设检验相关联:

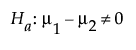
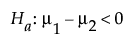
与双侧备择假设:

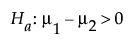
或与单侧备择假设:
或者 
其中 μ1 和 μ2 是两个总体的真实均值。假定相关总体服从正态分布,且您要检测两个均值之间的差值 δ。
使用单选按钮、文本框和滑块设置研究假设并探索样本大小。对设置进行更改时,曲线随之更新。或者,通过拖动曲线上的十字准线或调整轴文本框中的值来更改设置。
检验类型
指定单侧或双侧假设检验。
固定参数
Alpha
指定 I 类误差的概率,即当原假设为真时拒绝原假设的概率。它通常是指检验的显著性水平。默认 alpha 水平为 0.05。
组 1 标准差 (σ1)
为其中一个组“组 1”指定假定的标准差。误差标准差的估计值可以是先前的模型拟合的均方根误差 (RMSE)。
组 2 标准差 (σ2)
为第二个组“组 2”指定假定的标准差。误差标准差的估计值可以是先前的模型拟合的均方根误差 (RMSE)。
总体标准差已知
指定计算基于已知总体标准差。
检验参数
待检差值 (Δ)
指定组均值之间的最小差值,您希望能称为在统计上显著。
组 1 样本大小
指定您实验中的“组 1”需要的总观测数(试验次数、实验单元数或样本数)。选择“锁定”以锁定“组 1”样本大小。
组 2 样本大小
指定您实验中的“组 2”需要的总观测数(试验次数、实验单元数或样本数)。选择“锁定”以锁定“组 2”样本大小。
总样本大小
指定您实验中需要的总观测数(试验次数、实验单元数或样本数)。功效曲线基于总样本大小。
提示:调整一组的样本大小会影响第二组的样本大小,而总样本大小不变。调整总样本大小会按比例调整两个组,除非其中一个组已被锁定。只能锁定一个组样本大小。
功效
指定当原假设为假时拒绝原假设的概率。在其他所有参数保持不变时,功效随着样本大小的增加而增加。
保存设置
将当前设置保存至“已保存设置”表。这样您就可以保存一套备选研究计划。请参见样本大小分析器中的已保存设置。
制成数据收集表
创建可用于数据收集的新数据表。
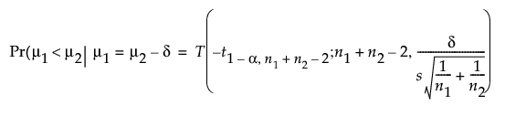
检验两个样本组均值差值的功效计算基于传统的 t 检验;若 σ1 和 σ2 已知,则基于 z 检验。
对于 σ 未知的情况,假定 σ1=σ2=σ,则功效计算基于备择假设的形式。对于单侧、上侧备择假设:

对于单侧、下侧备择假设:

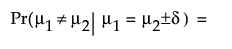
对于双侧备择假设:


其中:
α 是显著性水平。
n1 和 n2 是组样本大小
s 是合并标准差
δ 是待检差值。
t1-α,ν, 是自由度为 ν 的中心 t 分布的第 (1 - α) 分位数
T(t; ν, λ) 是自由度为 ν 且非中心参数为 λ 的非中心 t 分布的累积分布函数。
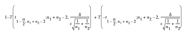
若未假定 σ1 和 σ2 相等,则上面等式中的自由度 n1+ n2 -2 设置为:

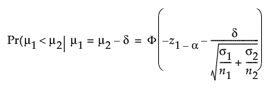
当 σ1 和 σ2 已知时,z 分布用于功效计算。基于备择假设的形式计算功效。对于单侧、上侧备择假设:

对于单侧、下侧备择假设:

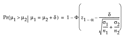
对于双侧备择假设:

其中:
α 是显著性水平。
n1 和 n2 是组样本大小
σ1 和 σ2 是已知的组标准差
δ 是待检差值。
z1-α 是 z 分布的第 (1 - α) 分位数
Φ(x) 是正态分布的累积分布函数。