使用“两个独立样本比例的功效分析器”可确定关于两个组的比例的假设检验的样本大小。选择实验设计 > 样本大小分析器 > 功效 > 两个独立样本比例的功效。探索在样本大小、功效、显著性和假设的待检差值之间如何权衡。样本大小与功效与以下假设检验相关联:

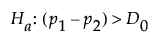
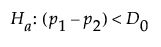
与双侧备择假设:

或与以下某个单侧备择假设:
或者 
其中 p1 和 p2 是来自两个总体的总体比例,D0 是假设的比例差值。
使用单选按钮、文本框和滑块设置研究假设并探索样本大小。对设置进行更改时,曲线随之更新。或者,通过拖动曲线上的十字准线或调整轴文本框中的值来更改设置。
检验类型
指定单侧或双侧假设检验。
固定参数
Alpha
指定 I 类误差的概率,即当原假设为真时拒绝原假设的概率。它通常是指检验的显著性水平。默认 alpha 水平为 0.05。
检验参数
相互关联并在进行更改时随之更新的参数。
组 1 比例 (p1)
指定您期望或假设的组 1 比例。
组 2 比例 (p2)
指定您期望或假设的组 2 比例。
组 1 样本大小
指定您实验中的“组 1”需要的总观测数(试验次数、实验单元数或样本数)。选择“锁定”以锁定“组 1”样本大小。
组 2 样本大小
指定您实验中的“组 2”需要的总观测数(试验次数、实验单元数或样本数)。选择“锁定”以锁定“组 2”样本大小。
总样本大小
指定您实验中需要的总观测数(试验次数、实验单元数或样本数)。功效曲线基于总样本大小。
提示:调整一组的样本大小会影响第二组的样本大小,而总样本大小不变。调整总样本大小会按比例调整两个组,除非锁定其中一个组。只能锁定一个组样本大小。
功效
指定当原假设为假时拒绝原假设的概率。在其他所有参数保持不变时,功效随着样本大小的增加而增加。
保存设置
将当前设置保存至“已保存设置”表。这样您就可以保存一套备选研究计划。请参见样本大小分析器中的已保存设置。
制成数据收集表
创建可用于数据收集的新数据表。
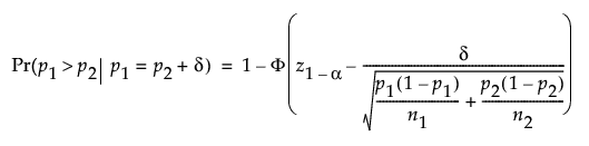
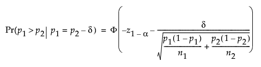
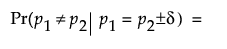
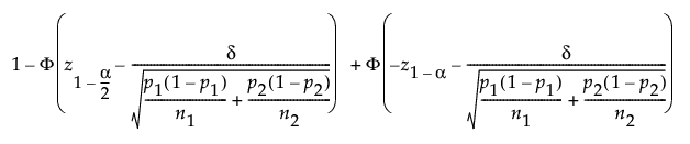
用于检验两个样本组比例差值的功效计算基于正态近似。计算取决于备择假设的形式。对于单侧、上侧备择假设:

对于单侧、下侧备择假设:

对于双侧备择假设:


其中:
α 是显著性水平。
n1 和 n2 是组样本大小
p1 和 p2 是已知组标准差
δ 是待检差值。
z1-α 是 z 分布的第 (1 - α) 分位数
Φ(x) 是正态分布的累积分布函数。