使用刻画器、等高线刻画器或曲面刻画器可进一步了解拟合模型。要选择刻画器选项,可点击“对数线性方差拟合”红色小三角并选择刻画器菜单下的一个选项。
例如,假定目标是找到实现响应的目标值为 35 同时使方差最小的因子设置。拟合模型并从报表菜单中选择“刻画器”。例如,图 10.7 显示匹配均值的目标值并使方差最小化的刻画器设置。
1. 选择帮助 > 样本数据库,然后打开 InjectionMolding.jmp。
2. 选择分析 > 拟合模型。
由于数据表中的变量已经分配有预选角色,所以分析会自动运行。
3. 点击“对数线性方差拟合”红色小三角并选择刻画器 > 刻画器。
4. 点击“预测刻画器”红色小三角并选择最优化和意愿 > 设置意愿。
5. 在显示的“响应目标”窗口中,将“最大化”更改为“匹配目标值”。
6. 点击确定。
7. 在第二个“响应目标”窗口中,点击确定。
8. 点击“预测刻画器”红色小三角并选择优化和意愿 > 最大化意愿。
9. 点击“预测刻画器”红色小三角并选择预测区间。
图 10.7 具有预测区间的“匹配目标值”和“最小化方差”的刻画器
了解均值和方差(都使用“对数方差”特质建模)之间关系的一种最佳方法是查看有关均值的单值预测置信区间。常规置信区间(在“刻画器”中默认显示)不像单值预测置信区间那样显示有关方差模型的信息。预测区间在一个图中同时显示均值和方差模型。
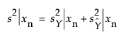
若 Y 是建模的响应且您希望知道 xn 处新观测值的预测区间,则:

其中:
是 xn 处单个预测值的方差
是 xn 处 Y 的分布的方差
是
的抽样分布的方差,也是均值的方差。
因为单个预测值的方差包含 Y 的分布的方差,可以看到 Y 的方差变化的效应。不仅单值预测区间变宽,而且它们可能随着方差效应的变化而更改形状。