“相对估计效率”报表针对假设模型中参数的参数估计值的标准误差对设计进行比较。标准误差控制参数估计值的置信区间长度。该报表提供效率比和相对标准误差。
根据相对估计效率值表下方显示的颜色梯度对相对估计效率值着色。您可以使用“相对估计效率”红色小三角菜单中的选项控制颜色图例。请参见颜色仪表板。
图 16.26 比较两个裂区设计的相对估计效率
图 16.26 显示在具有不同整区数的裂区设计中比较的裂区设计的“相对估计效率”分级显示项。
对于给定的某项,参考设计相对于比较设计的估计效率是指:该比较设计的该项的相对标准误差除以参考设计的该项的相对标准误差的结果。小于 1 的值指示该参考设计不像比较设计那样高效。大于 1 的值指示该参考设计更高效。
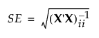
“估计的相对标准误差”报表提供参数估计值的标准差与误差标准差的比值。这些值指示模型参数估计值的标准误差相对于误差标准差有多大。对于第 i 个参数估计值,按以下方式定义“估计的相对标准误差”:

其中:
X 是别名矩阵中定义的模型矩阵,
是
的第 i 个对角线元素。