实验设计指南 > 技术细节 > 相对预测方差
发布日期: 11/15/2021

相对预测方差

考虑以下符号:

X

模型矩阵。请参见模型矩阵。定制设计提供显示该模型矩阵的脚本。请参见保存 X 矩阵

σ2

误差方差。

Equation shown here

参数的最小二乘估计值的向量。

Equation shown here

X 的第 i 行。

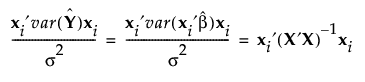
使用该符号,X 的第 i 行的预测响应表示为:

Equation shown here

Equation shown here 所定义的设置处的相对预测方差为:

Equation shown here

需要更多信息?有问题?从 JMP 用户社区得到解答 (community.jmp.com).