发布日期: 11/15/2021

散点图

说明变量与寿命事件的散点图显示在报表窗口的顶部。对于 Devalt.jmp 样本数据,散点图显示“温度 - 小时数”图。表 4.2 指示如何在报表窗口的散点图中表示每种失效类型。要增大图上标记的大小,右击该图,先选择标记大小,再选择所列的一个标记大小。

图 4.6 “温度 - 小时数”散点图 

Image shown here

表 4.2 失效和删失观测的散点图表示

事件

散点图表示

失效

右删失

向上的三角

左删失

向下的三角

区间删失

向下的三角落在向上的三角之上,二者通过一条实线连接

散点图选项

“散点图”红色小三角菜单包含以下选项:

添加密度曲线

通过在加速因子范围内输入任意值,指定您所需的密度曲线,一次指定一条曲线。您随后可以通过选中在添加曲线后出现的相应复选框来选择不同的分布。

删除密度曲线

显示之前输入的密度曲线值。通过选中适当的复选框来删除曲线。

显示密度曲线

显示密度曲线。若拟合的是位置位置和尺度模型,或是在启动窗口中选定了嵌套模型检验,则将显示所有给定说明变量水平的密度曲线。创建曲线之后,使用显示密度曲线选项可在图中切换曲线的显示。

添加多条分位数线

指定所需的分位数线,一次指定三条。您可以通过连续选择添加多条分位数线添加更多分位数。默认分位数值为 0.1、0.5 和 0.9。无效的分位数值(如缺失值)将被忽略。您可以按需仅输入一个分位数值,将其他条目留空。

显示分位数线置信区间带

显示或隐藏分位数线周围的置信区间。

设置分位数线置信区间带的水平

指定分位数线周围置信区间的置信水平。

删除多条分位数线

显示之前输入的分位数值。通过选中适当的复选框来删除分位数线。

转置坐标轴

交换水平轴和垂直轴。

使用变换尺度

散点图的默认视图包含变换尺度。选择该选项可在水平轴的线性尺度和非线性尺度之间切换。

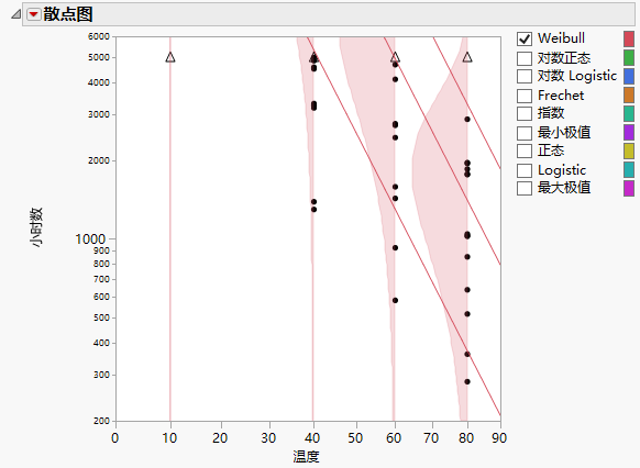
图 4.6 显示了初始散点图;图 4.7 显示了选定显示密度曲线添加多条分位数线选项后生成的散点图,其中显示了 Weibull 分布的各种温度水平下的曲线和分位数线。您还可以查看其他分布所有温度水平下的密度曲线。可以一次选定一个分布,也可以通过选中所需分布名称左侧的框来同时查看这些分布。

图 4.7 选定了密度曲线和分位数线选项的散点图 

Image shown here

需要更多信息?有问题?从 JMP 用户社区得到解答 (community.jmp.com).