本节定义构造 CUSUM 图时所用的统计量。其中一些统计量还保存在使用“保存汇总”命令创建的数据表中。
C+ 和 C- 的定义依赖于“数据单位”选项的设置。
注意:在“保存汇总”数据表中,C+ 和 C- 分别标记为上累积和和下累积和。
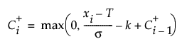
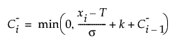
若未选定“数据单位”选项,每一步的 C+ 和 C- 定义如下:


其中:
xi 是第 i 步的响应的值
T 是过程目标
σ 是过程的标准差
k 是参考值,以标准差为单位
若为“起始值”指定了某个值,该值将用作初始 C+ 值,而该值的负值用作初始 C- 值。否则,C+ 和 C- 的初始值为零。
若选定“数据单位”选项,每一步的 C+ 和 C- 定义如下:


其中:
xi 是第 i 步的响应的值
T 是过程目标
σ 是过程的标准差
k 是参考值,以数据为单位
若为“起始值”指定了某个值,该值将用作初始 C+ 值,而该值的负值用作初始 C- 值。否则,C+ 和 C- 的初始值为零。
每一步的 N+ 都是自 C+ 的最近一个零值以来的步骤数。每一步的 N- 都是自 C- 的最近一个零值以来的步骤数。
注意:在“保存汇总”数据表中,N+ 和 N- 分别标记为正试验数和负试验数。