质量和过程方法 > 测量系统分析 > “测量系统分析”的统计详细信息
发布日期: 11/15/2021

“测量系统分析”的统计详细信息

有关“极差图”中使用的限值计算的详细信息,请参见均值图和 R 图的控制限。有关“标准差图”中使用的限值计算的详细信息,请参见均值图和 S 图的控制限

组间相关和概差的计算

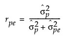
按以下方式计算不带偏倚的组间相关:

Equation shown here

按以下方式计算带偏倚的组间相关:

Equation shown here

按以下方式计算带偏倚和交互作用因子的组间相关:

Equation shown here

按以下方式计算概差:

Equation shown here

请注意以下事项:

Equation shown here = 纯误差的方差估计值

Equation shown here = 产品的方差估计值

Equation shown here = 偏倚因子的方差估计值

Equation shown here = 交互作用因子的方差估计值

Z0.75 = 标准正态分布的 75% 分位数

需要更多信息?有问题?从 JMP 用户社区得到解答 (community.jmp.com).