质量和过程方法
>
变异性量具图
>
变异性图的统计详细信息
> 分辨力比的统计详细信息
发布日期: 11/15/2021
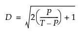
分辨力比的统计详细信息
分辨力比比较测量值的总方差
M
与测量值误差的方差
E
。计算所有主效应(包括嵌套的主效应)的分辨力比。按以下方式计算分辨力比
D
:
其中:
P
= 因子的估计方差
T
= 估计的总方差
需要更多信息?有问题?从 JMP 用户社区得到解答
(community.jmp.com)
.
本网站在启用 JavaScript 的情况下效果最佳。