“结构化方程模型”平台的统计详细信息
拟合汇总测度的统计详细信息
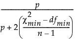
AICc 和 BICAICc 和 BIC 的公式定义如下:
AICc =
BIC = 
其中:
‒ -2logL 是负对数似然的两倍。
‒ n 是样本大小。
‒ k 是参数个数。
有关“模型比较”报表中基于似然的测度的详细信息,请参见《拟合线性模型》中的似然、AICc 和 BIC。
CFI比较拟合指数 (CFI) 计算如下:
CFI = 
其中:
‒
是独立模型的卡方统计量。
‒ df0 是独立模型的自由度。
‒
是拟合模型的卡方统计量。
‒ dfmin 是拟合模型的自由度。
有关 CFI 的详细信息,请参见 Bentler (1990)。
TLITucker-Lewis 指数 (TLI) 定义如下:
TLI = 
其中:
‒
是独立模型的卡方统计量。
‒ df0 是独立模型的自由度。
‒
是拟合模型的卡方统计量。
‒ dfmin 是拟合模型的自由度。
详细信息,请参见 West et al.(2012)。
NFIBentler-Bonett 规范拟合指数 (NFI) 定义如下:
NFI = 
其中:
‒
是独立模型的卡方统计量。
‒
是拟合模型的卡方统计量。
详细信息,请参见 West et al.(2012)。
修正的 GFI 和修正的 AGFI修正的拟合优度指数(修正的 GFI)定义如下:
修正的 GFI = 
其中:
‒
是拟合模型的卡方统计量。
‒ dfmin 是拟合模型的自由度。
‒ p 是拟合模型的观测变量数。
‒ n 是样本大小。
修正的拟合优度指数(修正的 AGFI)定义如下:
修正的 AGFI = 
其中:
‒ p* 是协方差矩阵中唯一条目数和观测变量的均值向量。
‒ dfmin 是拟合模型的自由度。
详细信息,请参见 West et al.(2012)。
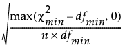
RMSEA近似的均方根误差 (RMSEA) 计算如下:
RMSEA = 
其中:
‒ n 是样本大小。
‒ dfmin 是拟合模型的自由度。
‒
是拟合模型的卡方统计量。
利用非中心卡方分布的累积分布函数 Φ(x|λ, d) 计算 RMSEA 的置信限。90% 置信限计算如下:
下限 = 
上限 = 
其中:
‒ λL 满足 Φ(
|λL, dfmin) = 0.95。
‒ λU 满足 Φ(
|λU, dfmin) = 0.05。
详细信息,请参见 Maydeu-Olivares et al.(2017) 中的表 J.1a、J.1b、J.6a 和 J.6b。
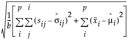
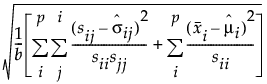
RMR 和 SRMRRMR 和 SRMR 的公式定义如下:
RMR = 
SRMR = 
其中:
‒ p 是显变量数。
‒ b 是观测变量的协方差矩阵和均值向量中的唯一条目数:

‒ sij 是输入协方差矩阵的第 (i, j) 个元素。
‒
是预测协方差矩阵的第 (i, j) 个元素。
‒
是样本均值向量的第 i 个元素。
‒
是向量预测均值的第 i 个元素。
有关详细信息,请参见 SAS Institute Inc.(2020b) 中的“CANDISC 过程”一章。