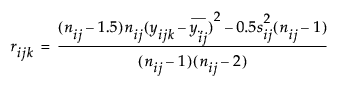
O’Brien 检验构造了一个因变量,使得新变量的组均值等于原始响应的组样本方差。O’Brien 变量的计算公式为:

其中 n 表示 yijk 观测数。
Brown-Forsythe 是来自对
进行方差分析的模型 F 统计量,其中
是第 i 个水平的响应中位数。
Levene F 是来自对
进行方差分析的模型 F 统计量,其中
是第 i 个水平的响应均值。
Bartlett 检验的计算公式如下:
其中
,
ni 是第 i 个水平的计数,si2 是第 i 个水平的响应样本方差。Bartlett 统计量服从 χ2 分布。将卡方检验统计量除以自由度得到报告的 F 值。
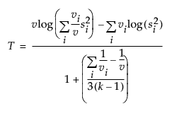
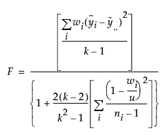
Welch 检验 F 比的计算公式如下:
其中
,
,
,
ni 是第 i 个水平的计数,
是第 i 个水平的响应均值,si2 是第 i 个水平的响应样本方差。
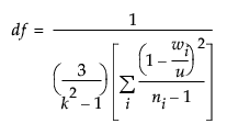
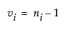
Welch 近似分母自由度定义如下:

其中 wi、ni 和 u 定义同 F 比公式。