可靠性和生存方法 > 累积损坏 > “累积损坏”平台的更多示例
发布日期: 09/18/2023

“累积损坏”平台的更多示例

本例使用“累积损坏”报表中的“模拟配置”面板生成新的步进应力数据。本例使用与“累积损坏”平台的示例中示例相同的数据。

1. 选择帮助 > 样本数据文件夹,然后打开 Reliability/CD Step Stress.jmpReliability/CD Step Stress Pattern.jmp

2. 在 CD Step Stress 数据表中,运行脚本累积损坏

3. 点击“应力模式”红色小三角并选择模拟

图 5.8 “模拟配置”面板 

Simulation Configuration Panel

“模拟配置”面板显示在“应力模式”报表中。选择的“分布”是 Weibull。b0 和 b1 的拟合值用作模拟的初始值。

4. 分布选择“指数”。

5. b0 输入 10。

6. b1 输入 -18。

7. (可选)为随机种子输入 14678。

8. 点击模拟

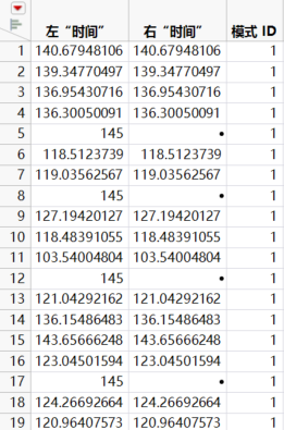
图 5.9 模拟的部分结果 

Partial Results of Simulation

图 5.9 显示了模拟数据表的部分列表。模式 ID 为 1 的应力模式仅定义了至多 145 个时间单位。由于启动窗口中的“模式配置”设置设置为“终止”,针对应力模式 1,模拟将删失 145 处的所有模拟值。

需要更多信息?有问题?从 JMP 用户社区得到解答 (community.jmp.com).