发布日期: 09/18/2023

拟合曲线模型的统计详细信息

“拟合曲线”红色小三角菜单中可用的模型公式汇总在表 14.1 中。

表 14.1 “拟合曲线”模型公式

模型

公式

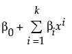
多项式

Image shown here

Equation shown here

其中,k 是多项式的阶数。您也可以使用“拟合模型”平台和“以 X 拟合 Y”平台拟合这些模型。

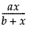
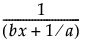
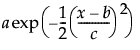
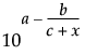
功效模型

Image shown here

Equation shown here

a = 截距

b = 斜率

c = 功效

仅当响应值和 x 值均为非负值时才可用。

双参数 Logistic

Image shown here

Equation shown here

a = 增长率

b = 拐点

仅当所有响应值都介于 0 到 1 之间时才可用。

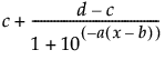
三参数 Logistic

Image shown here

Equation shown here

a = 增长率

b = 拐点

c = 渐近线

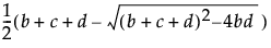
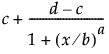
四参数 Logistic

Image shown here

Equation shown here

a = 增长率

b = 拐点

c = 下渐近线

d = 上渐近线

四参数 Logistic Rodbard

Image shown here

Equation shown here

a = 增长率

b = 拐点

c = 下渐近线

d = 上渐近线

仅当 x 值为正时才可用。

四参数 Logistic Hill

Image shown here

Equation shown here

a = 增长率

b = 拐点

c = 下渐近线

d = 上渐近线

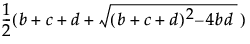
五参数 Logistic

Image shown here

Equation shown here

a = 增长率

b = 拐点

c = 渐近线 1

d = 渐近线 2

f = 幂次

双参数 Probit

Image shown here

Equation shown here

a = 增长率

b = 拐点

F = 正态分布 CDF

仅当所有响应值都介于 0 到 1 之间时才可用。

双参数 Probit

Image shown here

Equation shown here

a = 增长率

b = 拐点

c = 渐近线

F = 正态分布 CDF

0 处也有一条渐近线。

四参数 Probit

Image shown here

Equation shown here

a = 增长率

b = 拐点

c = 下渐近线

d = 上渐近线

F = 正态分布 CDF

三参数 Gompertz

Image shown here

Equation shown here

a = 渐近线

b = 增长率

c = 拐点

四参数 Gompertz

Image shown here

Equation shown here

a = 下渐近线

b = 上渐近线

c = 增长率

d = 拐点

Weibull 生长

Image shown here

Equation shown here

a = 上渐近线

b = 增长率

c = 拐点

仅当响应值和 x 值均为非负值时才可用。

双参数指数

Image shown here

Equation shown here

a = 尺度

b = 增长率

三参数指数

Image shown here

Equation shown here

a = 渐近线

b = 尺度

c = 增长率

四参数双指数

Image shown here

Equation shown here

a = 尺度 1

b = 衰减率 1

c = 尺度 2

d = 衰减率 2

仅当响应值为正时才可用。

五参数双指数

Image shown here

Equation shown here

a = 渐近线

b = 尺度 1

c = 衰减率 1

d = 尺度 2

f = 衰减率 2

机理生长

Image shown here

Equation shown here

a = 渐近线

b = 尺度

c = 增长率

混合指数

Image shown here

Equation shown here

a = 最大值

b = 尺度

c = 比率

d = 功效

仅当响应值和 x 值均为非负值时才可用。

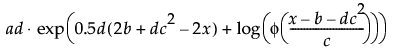
四参数细胞生长

Image shown here

Equation shown here

a = 峰值(若为死亡比率)d 为零

b = 时间 0 处的响应

c = 单元格分区比率

d = 单元格死亡比率

仅当响应值为正且 x 值非负时才可用。

高斯峰

Image shown here

Equation shown here

a = 峰值

b = 临界点

c = 增长率

ExGaussian 峰(指数修正的高斯峰)

Image shown here

Equation shown here

a = AUC(曲线下区域)

b = 位置

c = 尺度

d = Lambda

f = 标准正态 pdf

Lorentzian 峰

Image shown here

Equation shown here

a = 峰值

b = 增长率

c = 临界点

单室口服剂量模型

Image shown here

Image shown here

Equation shown here

a = 曲线下面积

b = 消除率

c = 吸收率

仅当响应值和 x 值全为正值时才可用。

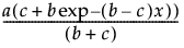
双室静脉注射剂量模型

Image shown here

Image shown here

Equation shown here

a =Equation shown here

b =Equation shown here

a = 初始浓度

b = 入向传输率

c = 出向传输率

d = 消除率

仅当响应值和 x 值全为正值时才可用。

Michaelis-Menten 方程

Image shown here

Equation shown here

a = 最大速度

b = Michaelis 常数

仅当响应值和 x 值全为正值时才可用。

反转 Michaelis-Menten 方程

Image shown here

Equation shown here

a = 最大速度

b = Michaelis 常数

仅当响应值和 x 值全为正值时才可用。

一阶比率

Image shown here

Equation shown here

a = 初始值

b = 比率常数

仅当 x 值非负时才可用。

带限值的一阶

Image shown here

Equation shown here

a = 初始值

b = 限制值

c = 比率常数

仅当 x 值非负时才可用。

带均衡的一阶

Image shown here

Equation shown here

a = 初始值

b = 前进比率

c = 后退比率

仅当 x 值非负时才可用。

二阶

Image shown here

Equation shown here

a = 初始值

b = 比率常数

仅当 x 值非负时才可用。

带两个成分的二阶

Image shown here

Equation shown here

a = 初始值

b = 偏移

c = 比率常数

仅当所有 x 值非负时才可用。

Antoine 方程

Image shown here

Equation shown here

a = 成分特定的常数

b = 成分特定的常数

c = 成分特定的常数

仅当响应值大于 0 时才可用。

垂直渐近线位于 10a 的位置。

水平渐近线位于 c 的位置。

Higuchi

Image shown here

Equation shown here

a = 释放常数

仅当所有 xy 值均为非负时才可用。

带滞后的 Higuchi

Image shown here

Equation shown here

a = 释放常数

b = 时滞

仅当所有 xy 值均为非负时才可用。

带突发的 Higuchi

Image shown here

Equation shown here

a = 释放常数

b = 突发

仅当所有 xy 值均为非负时才可用。

Hixson-Crowell

Image shown here

Equation shown here

a = 释放常数

仅当所有 xy 值均为非负时才可用。

带滞后的 Hixson-Crowell

Image shown here

Equation shown here

a = 释放常数

仅当所有 xy 值均为非负时才可用。

Korsmeyer-Peppas

Image shown here

Equation shown here

a = 释放常数

b = 扩散指数

仅当所有 xy 值均为非负时才可用。

带滞后的 Korsmeyer-Peppas

Image shown here

Equation shown here

a = 释放常数

b = 扩散指数

c = 时滞

仅当所有 xy 值均为非负时才可用。

带突发的 Korsmeyer-Peppas

Image shown here

Equation shown here

a = 释放常数

b = 扩散指数

c = 突发

仅当所有 xy 值均为非负时才可用。

需要更多信息?有问题?从 JMP 用户社区得到解答 (community.jmp.com).