本节提供在“单因子”平台中,Wilcoxon、中位数、Van der Waerden 和 Friedman 秩检验中使用的检验统计量的公式。
这些检验基于得分并使用以下符号。
j = 1,..., n
整个样本中的观测。
i = 1,..., k
X 的水平,其中,k 为水平总数。
n1, n2,..., nk
X 的 k 个水平中每个水平的观测数。
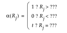
Rj
第 j 个观测的中秩。中秩在观测无结值时即该观测的秩,在有结值时即该观测的平均秩。
a
用于定义各种检验得分的中秩的函数。
在启动窗口指定了“区组”变量时将使用以下符号。
b = 1,..., B
分区组变量的水平,其中,B 是区组总数。
Rbi
区组 b 内第 i 个水平的中秩。
函数 a 按如下方式定义得分:
Wilcoxon 得分

中位数得分

用 nt 表示中位数处的结值观测数,用 nu 表示大于中位数的观测数。则 t 通过以下方式得出:

van der Waerden 得分

Friedman 秩得分

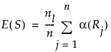
仅当 X 恰好有两个水平时,才提供基于正态近似的检验。本节中使用的符号在符号中定义。“双样本正态近似”报表中显示的统计量定义如下。
S
统计量 S 是较小组中观测的值 a(Rj) 的总和。若 X 的两个水平有相同的观测数,则 S 值对应于值排序中 X 的最后一个水平。
Z
Z 的值定义如下:

注意:Wilcoxon 检验添加连续校正。若 (S - E(S)) 大于 0,则从分子中减去 0.5。若 (S - E(S)) 小于 0,则给分子加上 0.5。
E(S)
原假设下 S 的期望值。用 nl 表示水平较小组中的观测数,或表示值排序中的最后一个水平中的观测数(在两个组具有相同的观测数时):

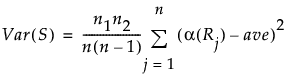
Var(S)
定义 ave 为所有观测的平均得分。那么 S 的方差定义如下:

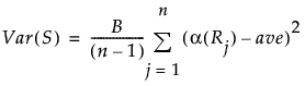
使用 Friedman 秩检验时,双样本正态近似的计算与上文相同,只不过 S 的方差不同。S 的方差计算如下:

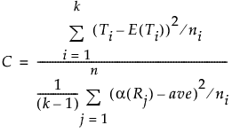
注意:基于 Wilcoxon 得分的卡方检验称为 Kruskal-Wallis 检验。
本节中使用的符号在符号中定义。以下数量用于计算卡方统计量:
Ti
X 的第 i 个水平的得分合计。
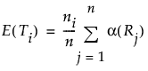
E(Ti)
在水平中无差值的原假设下水平 i 的总得分的期望值,定义如下:

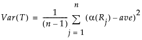
Var(T)
定义 ave 为所有观测的平均得分。那么 T 的方差定义如下:

检验统计量的值如下所示。该统计量服从自由度为 k – 1 的渐近卡方分布。

Friedman 秩检验的卡方检验统计量计算如下:
