本节给出通过“判别分析”红色小三角菜单中的“得分选项”>“保存公式”选项所保存的推导公式。这些公式依赖于判别方法。
对于由分类变量 X 定义的每个组,假定协变量的观测服从 p 维多元正态分布,其中 p 是协变量数。表 5.2 中给出了公式中使用的符号。
|
p |
协变量数 |
|
T |
组(X 的水平)总数 |
|
t = 1,..., T |
用于区分由 X 定义的各组的下标 |
|
nt |
第 t 组中的观测数 |
|
n = n1 + n2 + ... + nT |
总观测数 |
|
y |
某个观测的协变量的 1 x p 向量 |
|
|
组 t 中第 i 个观测,它包含 p 个协变量的向量 |
|
|
针对组 t 中的观测,协变量 y 的均值的 1 x p 向量 |
|
ybar |
所有观测的协变量均值的 1 x p 向量 |
|
|
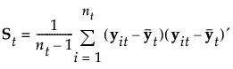
估计的第 t 组的组内协方差矩阵 (p x p) |
|
|
估计的 (p x p) 合并的组内协方差矩阵 |
|
qt |
组 t 的成员关系的先验概率 |
|
p(t|y) |
y 属于组 t 的后验概率 |
|
|A| |
矩阵 A 的行列式 |
在线性判别分析中,假定所有组内协方差矩阵是相等的。共同协方差矩阵通过 Sp 来估计。请参见表 5.2 了解相关符号。
观测 y 到组 t 的 Mahalanobis 距离按以下方式定义:

观测 y 属于第 t 组的似然函数按以下方式估计:

请注意,必须为合并的协方差矩阵估计的参数数目是 p(p+1)/2,必须为均值估计的参数数目是 Tp。必须估计的参数总数是 p(p+1)/2 + Tp。
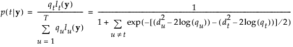
按以下方式定义组 t 中的成员关系的后验概率:

观测 y 被分配给具有最大后验概率的组。
按以下方式定义“线性”判别方法所保存的公式:
|
SqDist[0] |
|
|
SqDist[<组 t>] |
|
|
Prob[<组 t>] |
|
|
Pred <X> |
t,对于它 p(t|y) 为最大值,t = 1, ..., T |
在二次判别分析中,不假定组内协方差矩阵是相等的。组 t 的组内协方差矩阵由 St 估计。这意味着必须为组内协方差矩阵估计的参数数目是 Tp(p+1)/2,必须为均值估计的参数数目是 Tp。必须估计的参数总数是 Tp(p+3)/2。
组样本大小相对于 p 很小时,组内协方差矩阵的估计值倾向于很不稳定。判别得分受组内协方差矩阵的逆矩阵的最小特征值影响很大。请参见 Friedman (1989)。因此,若您的组样本大小相对于 p 来说很小,您可能要考虑正则判别方法中所述的“正则”方法。
请参见表 5.2 了解相关符号。观测 y 到组 t 的 Mahalanobis 距离按以下方式定义:

观测 y 属于第 t 组的似然函数按以下方式估计:

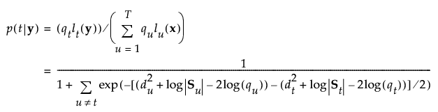
组 t 的成员关系的后验概率为:

观测 y 被分配给具有最大后验概率的组。
按以下方式定义“二次”判别方法所保存的公式:
|
SqDist[<组 t>] |
|
|
Prob[<组 t>] |
|
|
Pred <X> |
t,对于它 p(t|y) 为最大值,t = 1, ..., T |
注意:SqDist[<组 t>] 可为负。
“正则”判别分析允许两个参数:λ 和 γ。
• 参数 l 权衡分配给合并的协方差矩阵和组内协方差矩阵(不假定相等)的权重。
• 参数 g 确定向对角矩阵的收缩量。
该方法允许您利用正则化的两个特征,提高了二次判别分析估计值的稳定性。请参见 Friedman (1989)。请参见表 5.2 了解相关符号。
对于正则方法,组 t 的协方差矩阵为:

观测 y 到组 t 的 Mahalanobis 距离按以下方式定义:

观测 y 属于第 t 组的似然函数按以下方式估计:

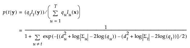
按以下方式计算组 t 的成员关系的后验概率:

观测 y 被分配给具有最大后验概率的组。
“正则”判别方法所保存的公式定义如下:
|
SqDist[<组 t>] |
|
|
Prob[<组 t>] |
|
|
Pred <X> |
t,对于它 p(t|y) 为最大值,t = 1, ..., T |
注意:SqDist[<组 t>] 可为负。
当您有很多协变量特别是协变量数超过观测数 (p > n) 时,“宽线性”方法很有用。该方法的核心是高效计算合并的组内协方差矩阵 Sp 的逆矩阵或它的转置矩阵(若 p > n)。它使用奇异值分解方法来避免为大的协方差矩阵反转和分配空间。
“宽线性”方法假定组内协方差矩阵相等,若观测数等于或超过协变量数,则该方法等效于“线性”方法。
请参见表 5.2 了解相关符号。在“宽线性”计算中使用以下步骤:
1. 计算组内样本均值的 T x p 矩阵 M。M 的第 (t,j) 个元素 mtj 是第 j 个协变量上的组 t 成员的样本均值。
2. 对于每个协变量 j,计算各组的合并标准差。称之为 sjj。
3. 用 Sdiag 表示具有对角元素 sjj 的对角矩阵。
4. 对每个协变量的值进行中心化和统一尺度:
‒ 减去观测所属组的均值。
‒ 将差值除以合并标准差。
使用符号,对于组 t 中的观测 i,第 j 个协变量的组中心化和统一尺度值为:

符号 t(i) 表示观测 i 所属的组 t。
5. 用 Ys 表示
值的矩阵。
6. 用 R 表示组中心化和统一尺度的协变量的合并组内协方差矩阵。按以下方式计算矩阵 R:

7. 将奇异值分解应用到 Ys:

其中 U 和 V 是正交的,D 是对角线上具有正元素(奇异值)的对角矩阵。请参见“奇异值分解”。
则 R 可以表示为:

8. 若 R 是满秩的,按以下方式得到 R-1/2:

其中 D-1 是对角矩阵,其对角元素为 D 的对角元素的逆。
若 R 不是满秩的,则按以下方式定义 R 的伪逆矩阵:

然后按以下方式定义 R 的平方根倒数:

9. 若 R 是满秩的,结果就是 R- = R-1。因此,为了保持完整性,我们使用伪逆矩阵继续讨论。
按以下方式定义 p x p 的矩阵 Ts:

则:

其中,S-p 是使用 SVD 计算的原始数据的合并组内协方差矩阵的广义逆矩阵。
Mahalanobis 距离、似然函数和后验概率的公式与线性判别方法中所述的那些公式相同。但是,Sp 的逆矩阵由使用奇异值分解计算的广义逆矩阵替代。
当您保存公式时,Mahalanobis 距离以分解的形式给出。对于观测 y,到组 t 的平方距离如下所示,其中最后一个等式中的 SqDist[0] 和判别主成分在保存的公式中定义:

这些是“宽线性”判别方法所保存的公式:
|
判别数据矩阵 |
观测值在协变量上的向量 |
|
判别主成分 |
使用主成分得分矩阵变换的数据,它呈现组内不相关的数据。通过 |
|
SqDist[0] |
|
|
SqDist[<组 t>] |
观测值到组重心的 Mahalanobis 距离。请参见Mahalanobis 距离。 |
|
Prob[<组 t>] |
|
|
Pred <X> |
t,对于它 p(t|y) 为最大值,t = 1, ..., T |